🇳🇴 🇬🇧 🇩🇪 🇨🇿 🇫🇮

Meteor Reinsvollin yllä 2024-12-14 16:51:06 UTC

KML-tiedosto  |  Interaktiivinen kartta

Kartta näyttää meteorin suuntahavainnot. Vaaleammat viivat näyttävät suunnat havaintoasemilta meteorin ilmestyessä, ja tummemmat viivat näyttävät, missä se viimeksi nähtiin. Sininen nuoli näyttää meteorin näkyvän lennon.

static map
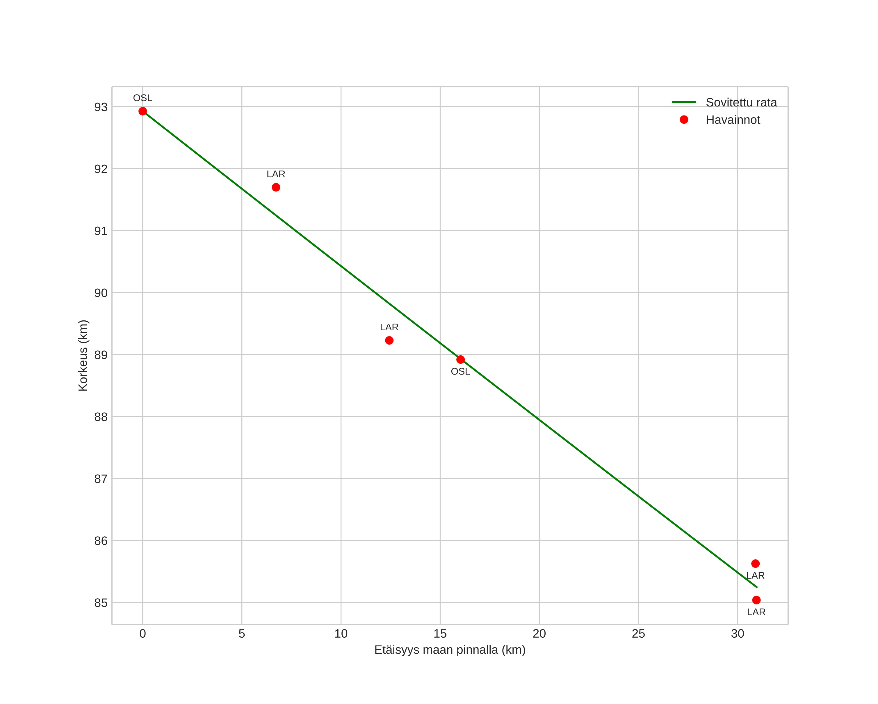
height profile
Meteorin ilmakehärata:
Alkukorkeus: 94,9 km
Loppukorkeus: 86,9 km
Alkupiste: 60,766N 10,989E
Loppupiste: 60,557N 10,563E
Suunta: 225,1°
Kallistuskulma: 13,7°
Tulonopeus: 35,1 km/s
Radiantin R,A,: 07:34 (113,6°)
Radiantin Dekl,: 30,8°
Meteoriparvi: Geminidit
Meteoroidin rataelementit:
Perihelietäisyys: 0,148 AU
Eksentrisyys: 0,884
Inklinaatio: 19,1°
Nousevan solmun pituus: 262,8°
Perihelin argumentti: 324,2°
Keskianomalia: 334,0°
Epookki: 2024 DEC 14 16:51:06
orbit plot

Ei-interaktiivinen kuvaaja | Interaktiivinen kuvaaja

position vs time
speed and acceleration