🇳🇴 🇬🇧 🇩🇪 🇨🇿 🇫🇮

Meteor, poloha: Siljan 2024-12-14 18:32:31 UTC

Soubor KML  |  InteraktivnĂ­ mapa

Mapa zobrazuje dráhy meteoru. Světlejší čáry ukazují směry od pozorovacích stanic při objevení se meteoru a tmavší čáry, kde byl naposledy viděn. Modrá šipka značí viditelnou dráhu meteoru.

static map
height profile
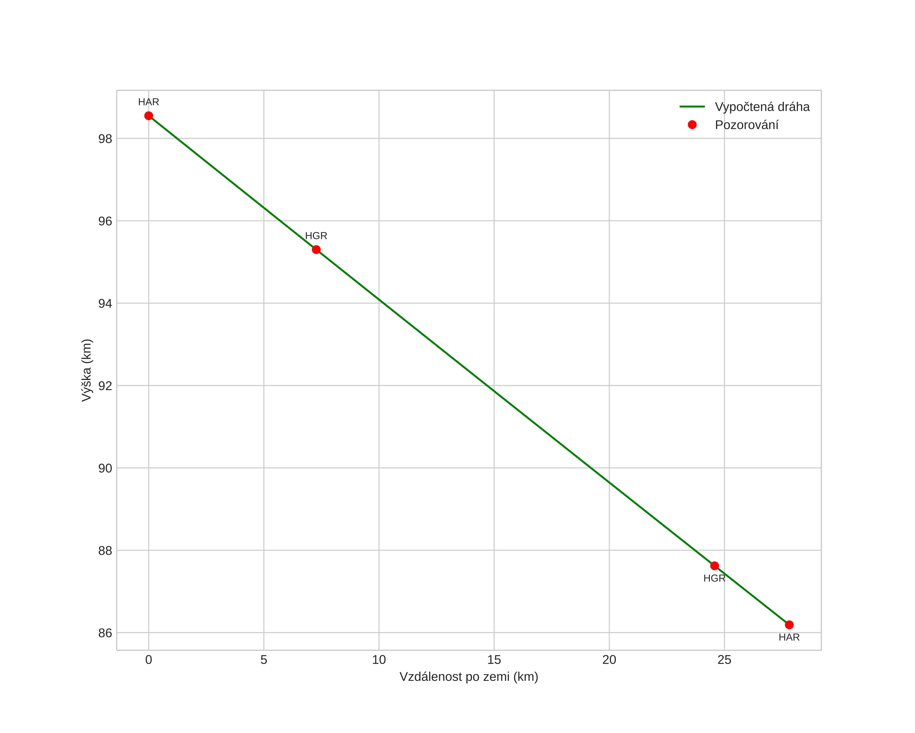
Atmosférická dráha meteoru:
Počáteční výška: 98,9 km
Konečná výška: 86,1 km
Počáteční poloha: 59,524N 10,241E
Konečná poloha: 59,419N 9,818E
Směr: 244,2°
Sklon: 25,7°
VstupnĂ­ rychlost: 35,5 km/s
Rektascenze radiantu: 07:25 (111,4°)
Deklinace radiantu: 33,6°
MeteorickĂ˝ roj: Geminidy
Elementy dráhy meteoroidu:
Vzdálenost v periheliu: 0,180 AU
Excentricita: 0,878
Sklon dráhy: 22,3°
Délka vzestupného uzlu: 262,9°
Argument perihelia: 318,3°
Střední anomálie: 339,0°
Epocha: 2024 DEC 14 18:32:31
orbit plot

NeinteraktivnĂ­ graf | InteraktivnĂ­ graf

position vs time
speed and acceleration