🇳🇴 🇬🇧 🇩🇪 🇨🇿 🇫🇮

Meteor Siljanin yllä 2024-12-14 18:32:31 UTC

KML-tiedosto  |  Interaktiivinen kartta

Kartta näyttää meteorin suuntahavainnot. Vaaleammat viivat näyttävät suunnat havaintoasemilta meteorin ilmestyessä, ja tummemmat viivat näyttävät, missä se viimeksi nähtiin. Sininen nuoli näyttää meteorin näkyvän lennon.

static map
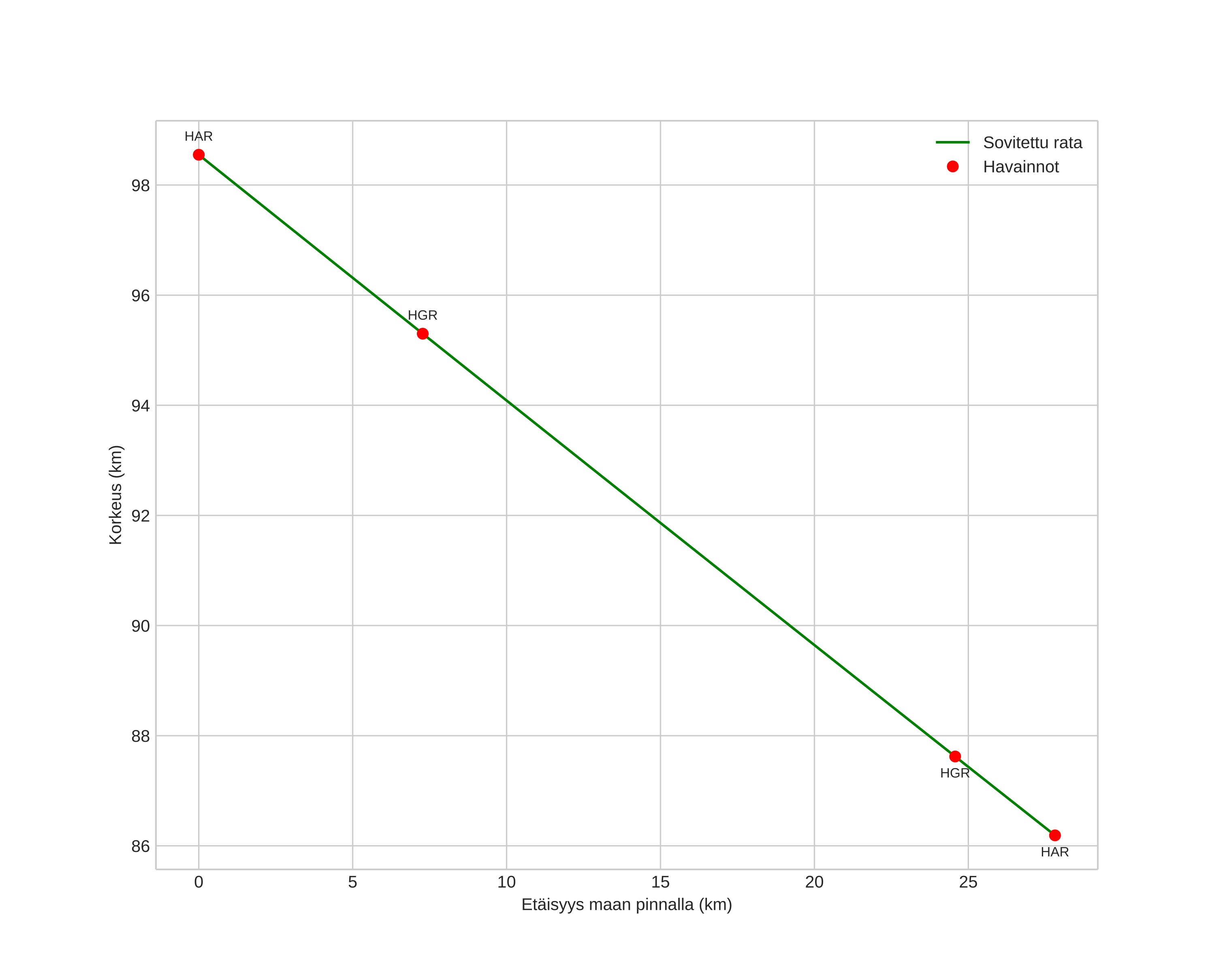
height profile
Meteorin ilmakehärata:
Alkukorkeus: 98,9 km
Loppukorkeus: 86,1 km
Alkupiste: 59,524N 10,241E
Loppupiste: 59,419N 9,818E
Suunta: 244,2°
Kallistuskulma: 25,7°
Tulonopeus: 35,5 km/s
Radiantin R,A,: 07:25 (111,4°)
Radiantin Dekl,: 33,6°
Meteoriparvi: Geminidit
Meteoroidin rataelementit:
Perihelietäisyys: 0,180 AU
Eksentrisyys: 0,878
Inklinaatio: 22,3°
Nousevan solmun pituus: 262,9°
Perihelin argumentti: 318,3°
Keskianomalia: 339,0°
Epookki: 2024 DEC 14 18:32:31
orbit plot

Ei-interaktiivinen kuvaaja | Interaktiivinen kuvaaja

position vs time
speed and acceleration