🇳🇴 🇬🇧 🇩🇪 🇨🇿 🇫🇮

Meteor, poloha: Bagn 2024-12-14 18:47:17 UTC

Soubor KML  |  InteraktivnĂ­ mapa

Mapa zobrazuje dráhy meteoru. Světlejší čáry ukazují směry od pozorovacích stanic při objevení se meteoru a tmavší čáry, kde byl naposledy viděn. Modrá šipka značí viditelnou dráhu meteoru.

static map
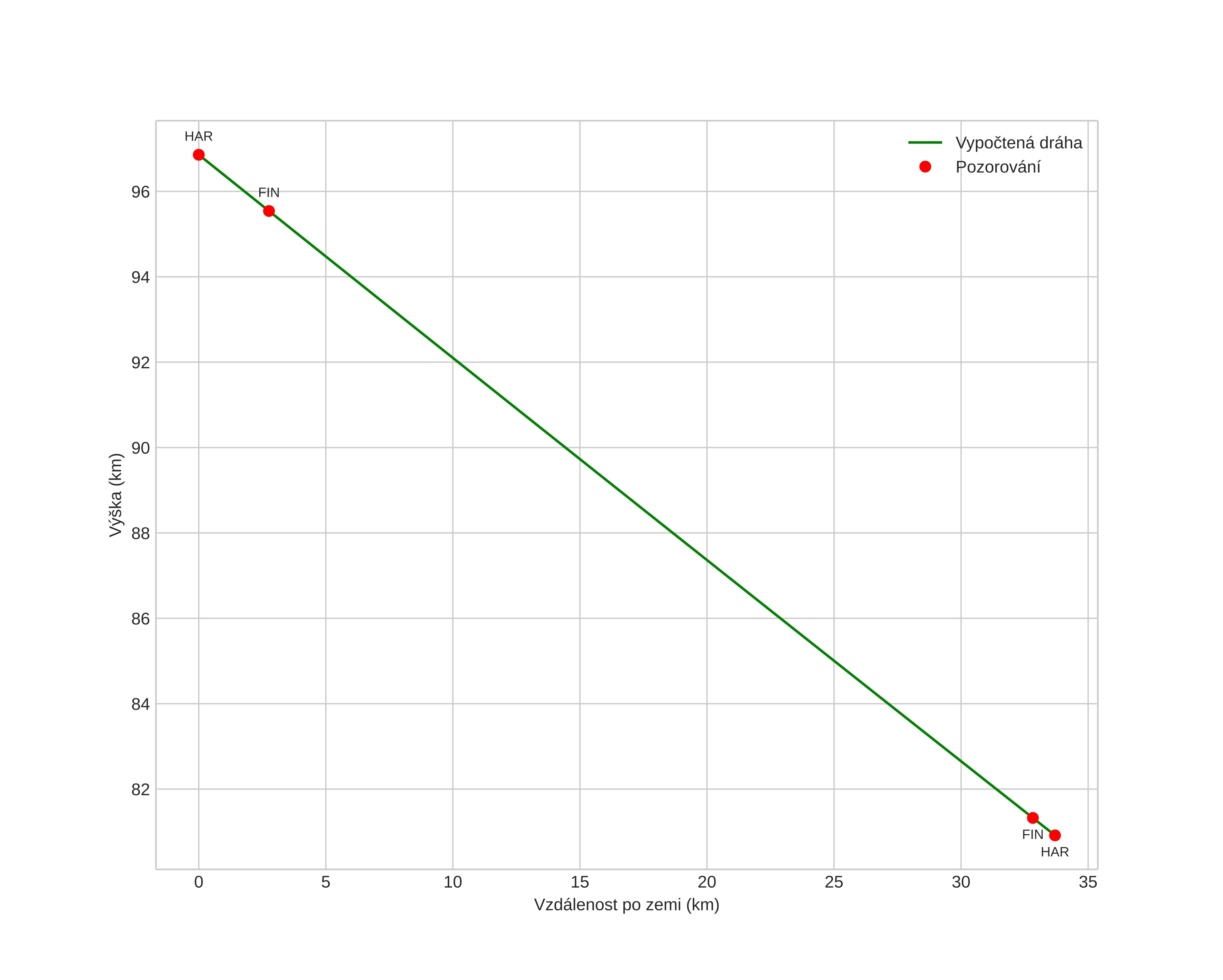
height profile
Atmosférická dráha meteoru:
Počáteční výška: 96,9 km
Konečná výška: 81,1 km
Počáteční poloha: 61,078N 10,092E
Konečná poloha: 60,956N 9,516E
Směr: 246,6°
Sklon: 25,0°
VstupnĂ­ rychlost: 36,4 km/s
Rektascenze radiantu: 07:36 (114,1°)
Deklinace radiantu: 31,7°
MeteorickĂ˝ roj: Geminidy
Elementy dráhy meteoroidu:
Vzdálenost v periheliu: 0,141 AU
Excentricita: 0,897
Sklon dráhy: 22,3°
Délka vzestupného uzlu: 262,9°
Argument perihelia: 324,3°
Střední anomálie: 337,2°
Epocha: 2024 DEC 14 18:47:17
orbit plot

NeinteraktivnĂ­ graf | InteraktivnĂ­ graf

position vs time
speed and acceleration