🇳🇴 🇬🇧 🇩🇪 🇨🇿 🇫🇮

Meteor Bagnin yllä 2024-12-14 18:47:17 UTC

KML-tiedosto  |  Interaktiivinen kartta

Kartta näyttää meteorin suuntahavainnot. Vaaleammat viivat näyttävät suunnat havaintoasemilta meteorin ilmestyessä, ja tummemmat viivat näyttävät, missä se viimeksi nähtiin. Sininen nuoli näyttää meteorin näkyvän lennon.

static map
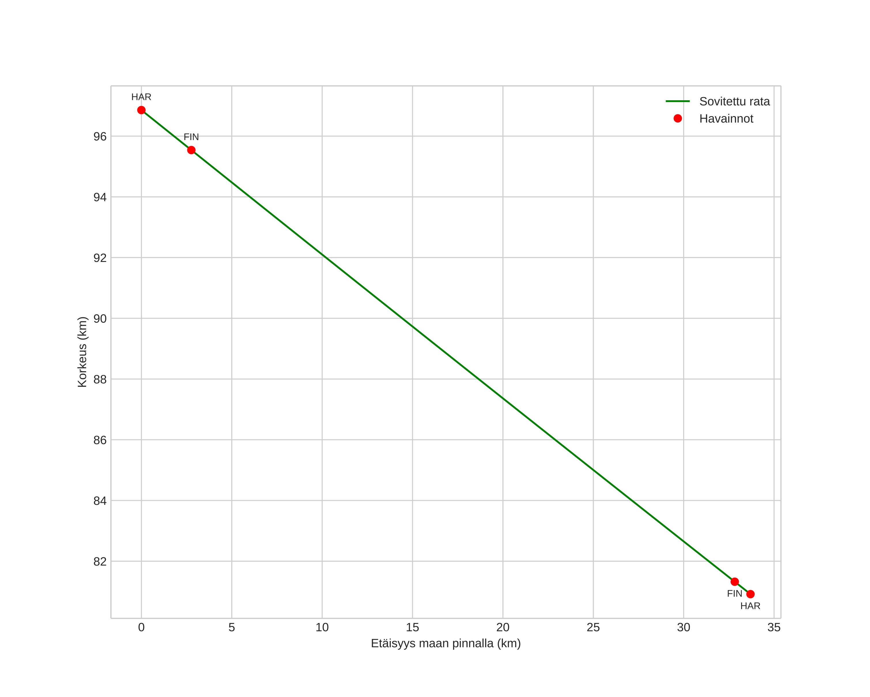
height profile
Meteorin ilmakehärata:
Alkukorkeus: 96,9 km
Loppukorkeus: 81,1 km
Alkupiste: 61,078N 10,092E
Loppupiste: 60,956N 9,516E
Suunta: 246,6°
Kallistuskulma: 25,0°
Tulonopeus: 36,4 km/s
Radiantin R,A,: 07:36 (114,1°)
Radiantin Dekl,: 31,7°
Meteoriparvi: Geminidit
Meteoroidin rataelementit:
Perihelietäisyys: 0,141 AU
Eksentrisyys: 0,897
Inklinaatio: 22,3°
Nousevan solmun pituus: 262,9°
Perihelin argumentti: 324,3°
Keskianomalia: 337,2°
Epookki: 2024 DEC 14 18:47:17
orbit plot

Ei-interaktiivinen kuvaaja | Interaktiivinen kuvaaja

position vs time
speed and acceleration