🇳🇴 🇬🇧 🇩🇪 🇨🇿 🇫🇮

Meteor, poloha: Lærdalsøyri 2024-12-14 18:56:51 UTC

Soubor KML  |  InteraktivnĂ­ mapa

Mapa zobrazuje dráhy meteoru. Světlejší čáry ukazují směry od pozorovacích stanic při objevení se meteoru a tmavší čáry, kde byl naposledy viděn. Modrá šipka značí viditelnou dráhu meteoru.

static map
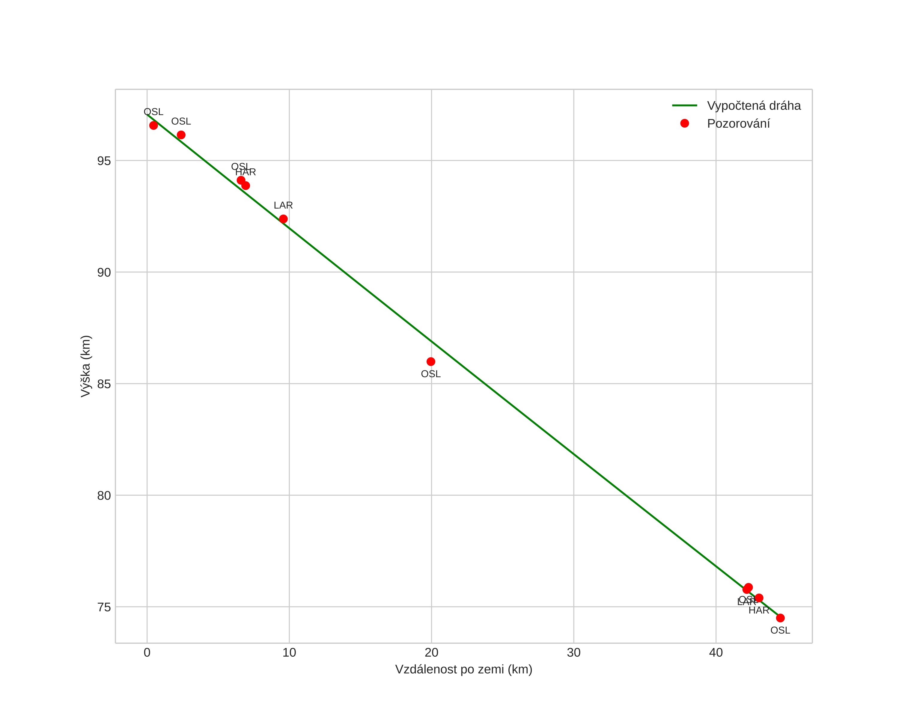
height profile
Atmosférická dráha meteoru:
Počáteční výška: 98,1 km
Konečná výška: 76,6 km
Počáteční poloha: 61,077N 8,249E
Konečná poloha: 60,912N 7,455E
Směr: 247,1°
Sklon: 24,8°
VstupnĂ­ rychlost: 36,9 km/s
Rektascenze radiantu: 07:36 (114,2°)
Deklinace radiantu: 31,3°
MeteorickĂ˝ roj: Geminidy
Elementy dráhy meteoroidu:
Vzdálenost v periheliu: 0,133 AU
Excentricita: 0,906
Sklon dráhy: 22,5°
Délka vzestupného uzlu: 262,9°
Argument perihelia: 325,1°
Střední anomálie: 338,5°
Epocha: 2024 DEC 14 18:56:51
orbit plot

NeinteraktivnĂ­ graf | InteraktivnĂ­ graf

position vs time
speed and acceleration