🇳🇴 🇬🇧 🇩🇪 🇨🇿 🇫🇮

Meteor Lærdalsøyrin yllä 2024-12-14 18:56:51 UTC

KML-tiedosto  |  Interaktiivinen kartta

Kartta näyttää meteorin suuntahavainnot. Vaaleammat viivat näyttävät suunnat havaintoasemilta meteorin ilmestyessä, ja tummemmat viivat näyttävät, missä se viimeksi nähtiin. Sininen nuoli näyttää meteorin näkyvän lennon.

static map
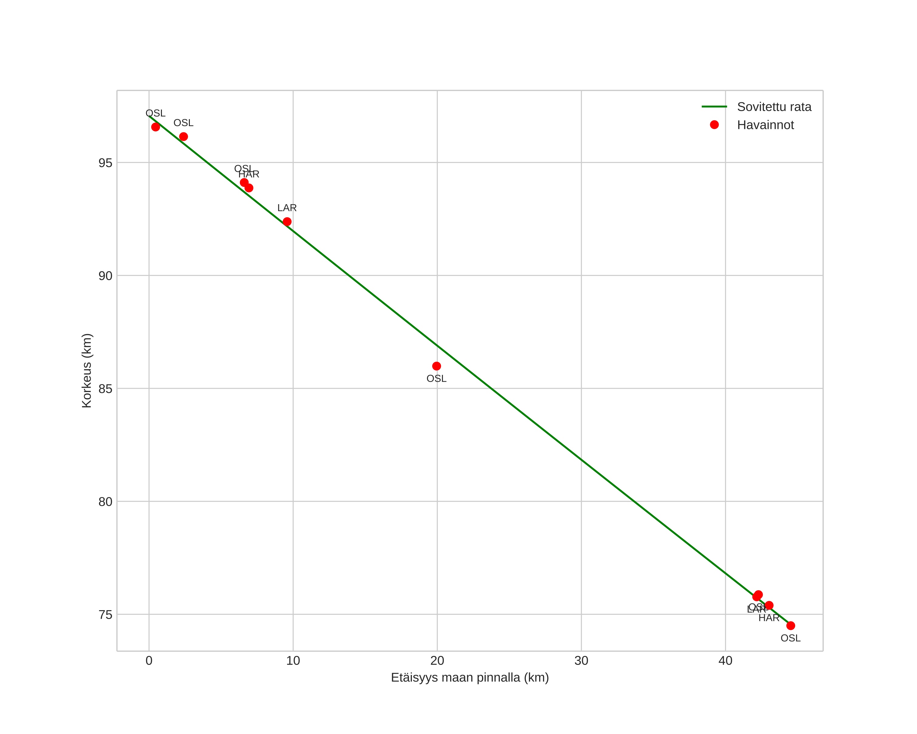
height profile
Meteorin ilmakehärata:
Alkukorkeus: 98,1 km
Loppukorkeus: 76,6 km
Alkupiste: 61,077N 8,249E
Loppupiste: 60,912N 7,455E
Suunta: 247,1°
Kallistuskulma: 24,8°
Tulonopeus: 36,9 km/s
Radiantin R,A,: 07:36 (114,2°)
Radiantin Dekl,: 31,3°
Meteoriparvi: Geminidit
Meteoroidin rataelementit:
Perihelietäisyys: 0,133 AU
Eksentrisyys: 0,906
Inklinaatio: 22,5°
Nousevan solmun pituus: 262,9°
Perihelin argumentti: 325,1°
Keskianomalia: 338,5°
Epookki: 2024 DEC 14 18:56:51
orbit plot

Ei-interaktiivinen kuvaaja | Interaktiivinen kuvaaja

position vs time
speed and acceleration