🇳🇴 🇬🇧 🇩🇪 🇨🇿 🇫🇮

Meteor, poloha: Stange 2024-12-14 20:08:06 UTC

Soubor KML  |  InteraktivnĂ­ mapa

Mapa zobrazuje dráhy meteoru. Světlejší čáry ukazují směry od pozorovacích stanic při objevení se meteoru a tmavší čáry, kde byl naposledy viděn. Modrá šipka značí viditelnou dráhu meteoru.

static map
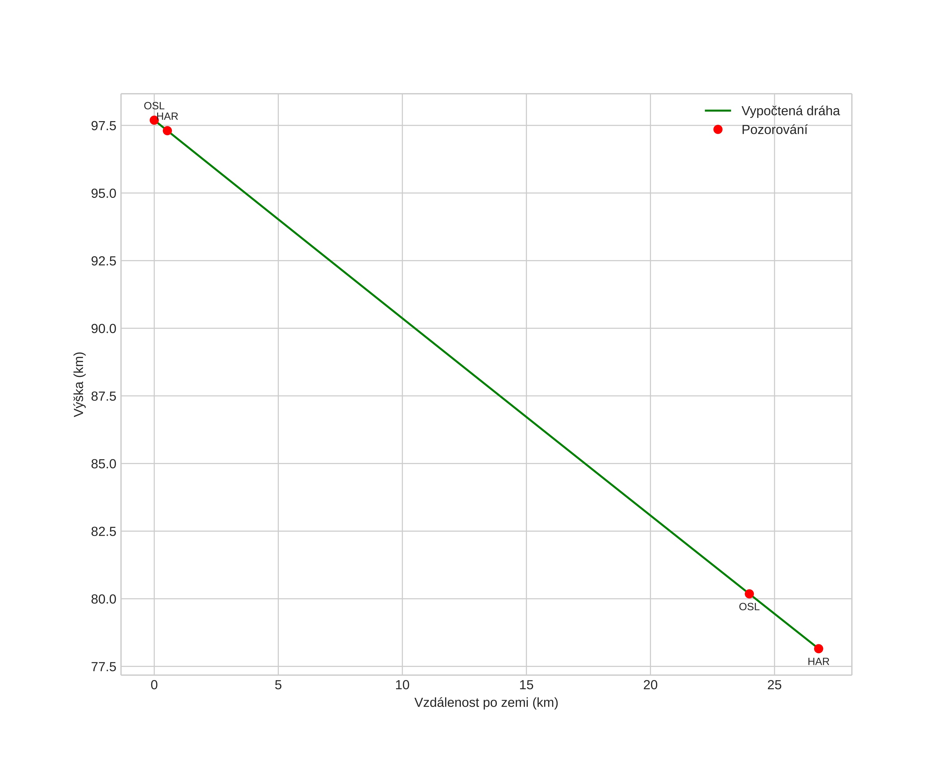
height profile
Atmosférická dráha meteoru:
Počáteční výška: 95,2 km
Konečná výška: 77,6 km
Počáteční poloha: 60,811N 11,665E
Konečná poloha: 60,789N 11,196E
Směr: 264,8°
Sklon: 34,6°
VstupnĂ­ rychlost: 35,4 km/s
Rektascenze radiantu: 07:34 (113,6°)
Deklinace radiantu: 31,0°
MeteorickĂ˝ roj: Geminidy
Elementy dráhy meteoroidu:
Vzdálenost v periheliu: 0,149 AU
Excentricita: 0,886
Sklon dráhy: 19,6°
Délka vzestupného uzlu: 263,0°
Argument perihelia: 323,7°
Střední anomálie: 335,1°
Epocha: 2024 DEC 14 20:08:06
orbit plot

NeinteraktivnĂ­ graf | InteraktivnĂ­ graf

position vs time
speed and acceleration