🇳🇴 🇬🇧 🇩🇪 🇨🇿 🇫🇮

Meteor Stangen yllä 2024-12-14 20:08:06 UTC

KML-tiedosto  |  Interaktiivinen kartta

Kartta näyttää meteorin suuntahavainnot. Vaaleammat viivat näyttävät suunnat havaintoasemilta meteorin ilmestyessä, ja tummemmat viivat näyttävät, missä se viimeksi nähtiin. Sininen nuoli näyttää meteorin näkyvän lennon.

static map
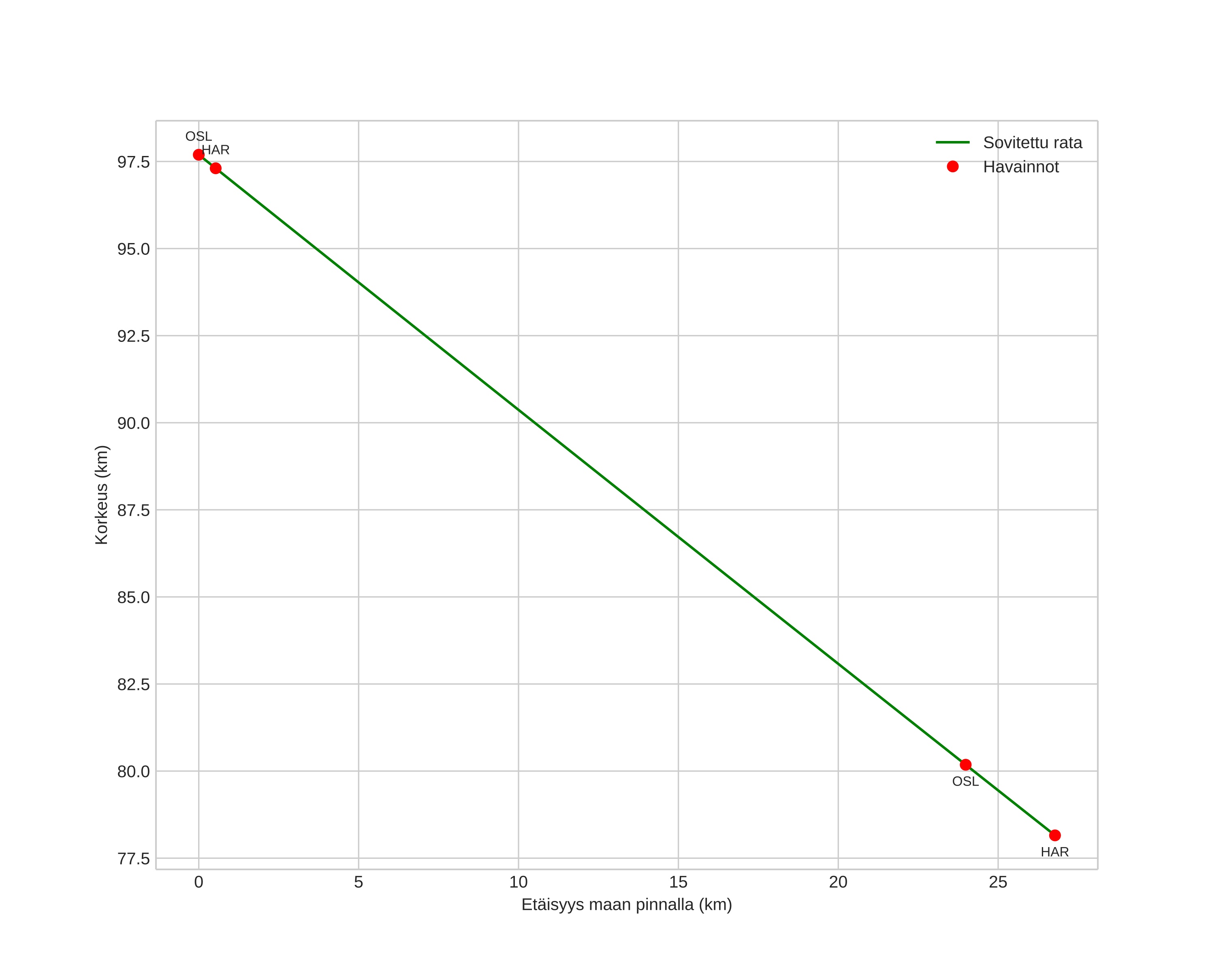
height profile
Meteorin ilmakehärata:
Alkukorkeus: 95,2 km
Loppukorkeus: 77,6 km
Alkupiste: 60,811N 11,665E
Loppupiste: 60,789N 11,196E
Suunta: 264,8°
Kallistuskulma: 34,6°
Tulonopeus: 35,4 km/s
Radiantin R,A,: 07:34 (113,6°)
Radiantin Dekl,: 31,0°
Meteoriparvi: Geminidit
Meteoroidin rataelementit:
Perihelietäisyys: 0,149 AU
Eksentrisyys: 0,886
Inklinaatio: 19,6°
Nousevan solmun pituus: 263,0°
Perihelin argumentti: 323,7°
Keskianomalia: 335,1°
Epookki: 2024 DEC 14 20:08:06
orbit plot

Ei-interaktiivinen kuvaaja | Interaktiivinen kuvaaja

position vs time
speed and acceleration