🇳🇴 🇬🇧 🇩🇪 🇨🇿 🇫🇮

Meteor, poloha: Skagen 2024-12-14 21:02:33 UTC

Soubor KML  |  InteraktivnĂ­ mapa

Mapa zobrazuje dráhy meteoru. Světlejší čáry ukazují směry od pozorovacích stanic při objevení se meteoru a tmavší čáry, kde byl naposledy viděn. Modrá šipka značí viditelnou dráhu meteoru.

static map
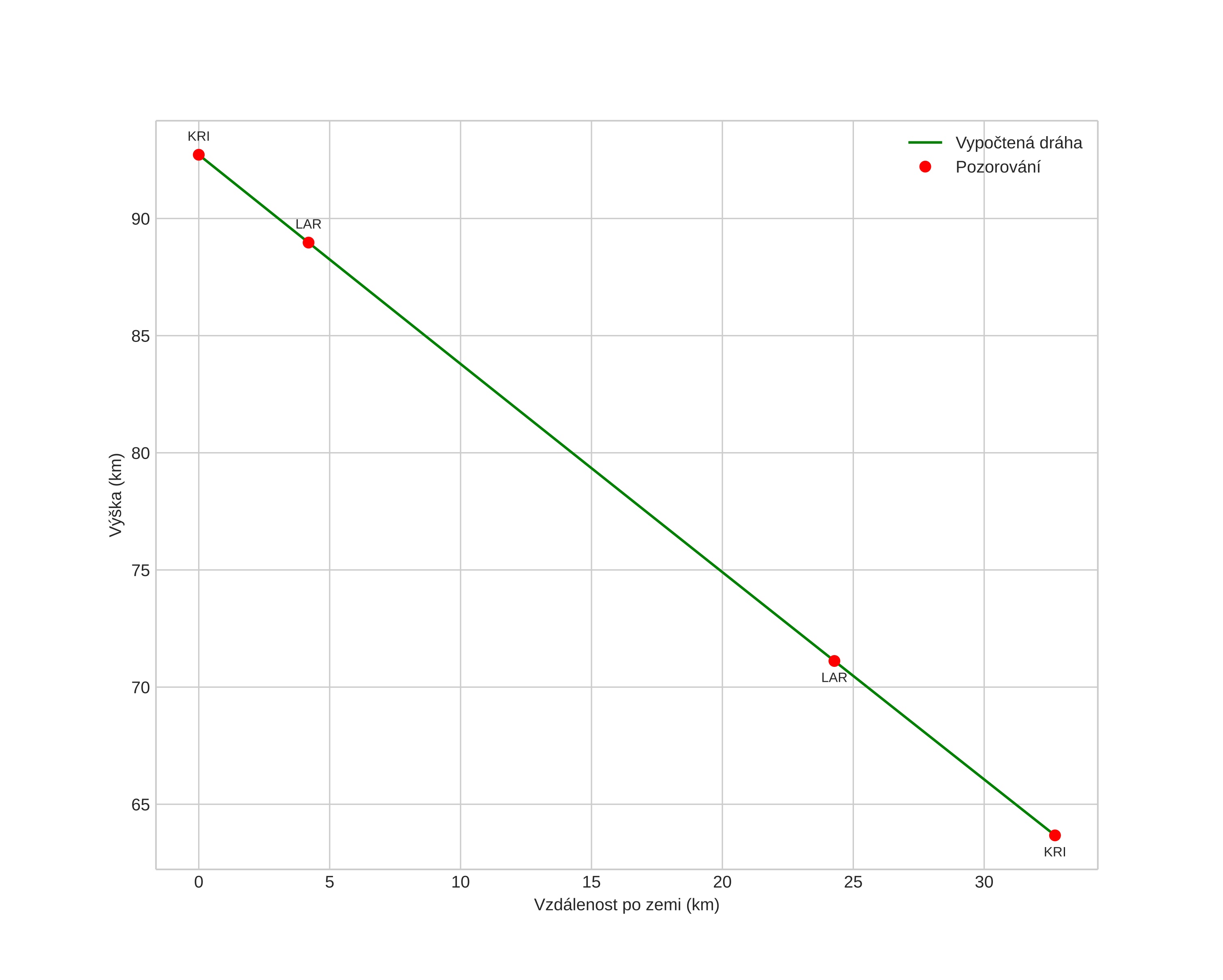
height profile
Atmosférická dráha meteoru:
Počáteční výška: 95,9 km
Konečná výška: 63,7 km
Počáteční poloha: 57,839N 11,187E
Konečná poloha: 57,850N 10,573E
Směr: 272,3°
Sklon: 41,5°
VstupnĂ­ rychlost: 37,4 km/s
Rektascenze radiantu: 07:36 (114,1°)
Deklinace radiantu: 32,3°
MeteorickĂ˝ roj: Geminidy
Elementy dráhy meteoroidu:
Vzdálenost v periheliu: 0,138 AU
Excentricita: 0,907
Sklon dráhy: 24,7°
Délka vzestupného uzlu: 263,0°
Argument perihelia: 323,8°
Střední anomálie: 340,2°
Epocha: 2024 DEC 14 21:02:33
orbit plot

NeinteraktivnĂ­ graf | InteraktivnĂ­ graf

position vs time
speed and acceleration