🇳🇴 🇬🇧 🇩🇪 🇨🇿 🇫🇮

Meteor Skagenin yllä 2024-12-14 21:02:33 UTC

KML-tiedosto  |  Interaktiivinen kartta

Kartta näyttää meteorin suuntahavainnot. Vaaleammat viivat näyttävät suunnat havaintoasemilta meteorin ilmestyessä, ja tummemmat viivat näyttävät, missä se viimeksi nähtiin. Sininen nuoli näyttää meteorin näkyvän lennon.

static map
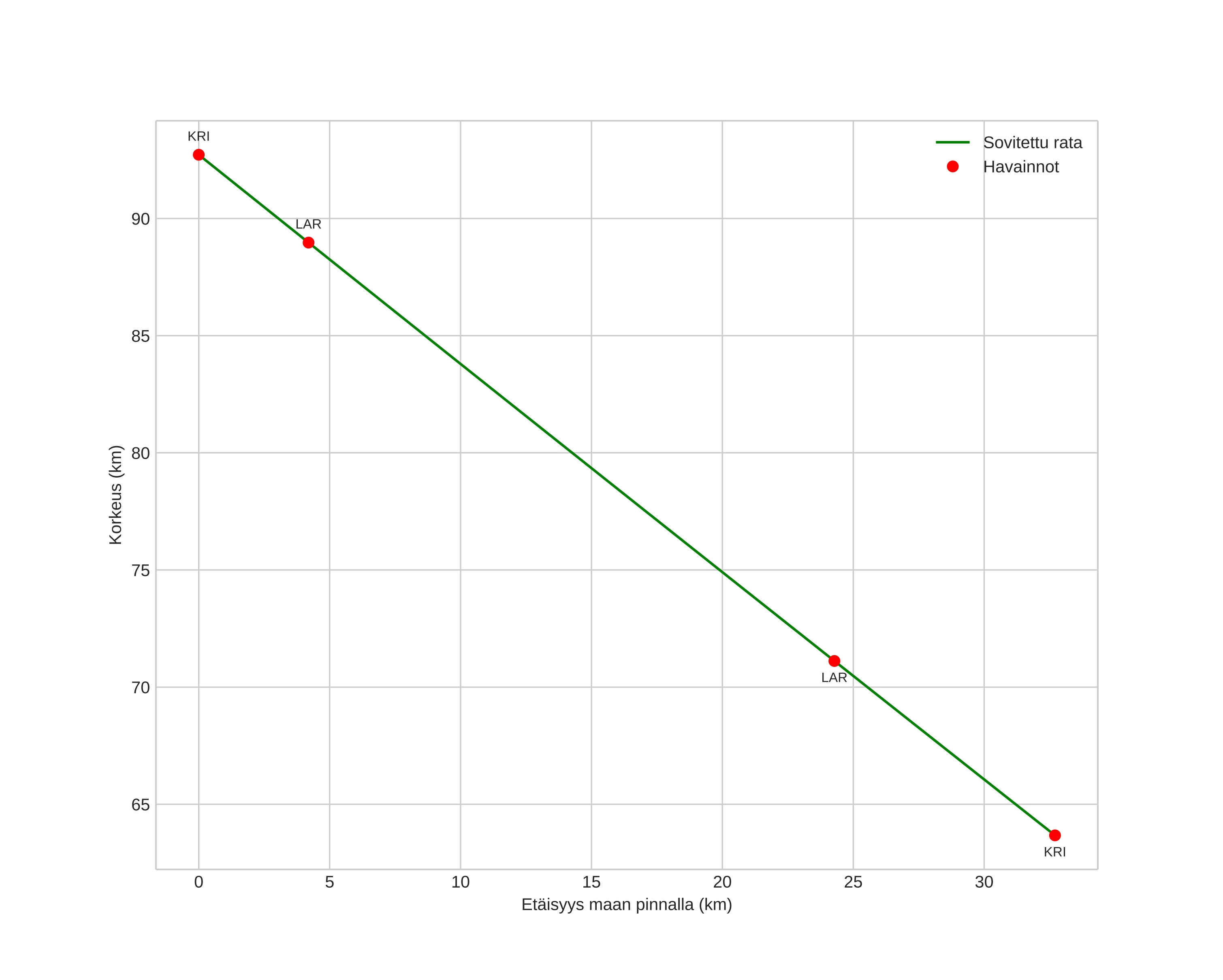
height profile
Meteorin ilmakehärata:
Alkukorkeus: 95,9 km
Loppukorkeus: 63,7 km
Alkupiste: 57,839N 11,187E
Loppupiste: 57,850N 10,573E
Suunta: 272,3°
Kallistuskulma: 41,5°
Tulonopeus: 37,4 km/s
Radiantin R,A,: 07:36 (114,1°)
Radiantin Dekl,: 32,3°
Meteoriparvi: Geminidit
Meteoroidin rataelementit:
Perihelietäisyys: 0,138 AU
Eksentrisyys: 0,907
Inklinaatio: 24,7°
Nousevan solmun pituus: 263,0°
Perihelin argumentti: 323,8°
Keskianomalia: 340,2°
Epookki: 2024 DEC 14 21:02:33
orbit plot

Ei-interaktiivinen kuvaaja | Interaktiivinen kuvaaja

position vs time
speed and acceleration