🇳🇴 🇬🇧 🇩🇪 🇨🇿 🇫🇮

Meteor, poloha: Kirkenær 2024-12-14 22:24:42 UTC

Soubor KML  |  InteraktivnĂ­ mapa

Mapa zobrazuje dráhy meteoru. Světlejší čáry ukazují směry od pozorovacích stanic při objevení se meteoru a tmavší čáry, kde byl naposledy viděn. Modrá šipka značí viditelnou dráhu meteoru.

static map
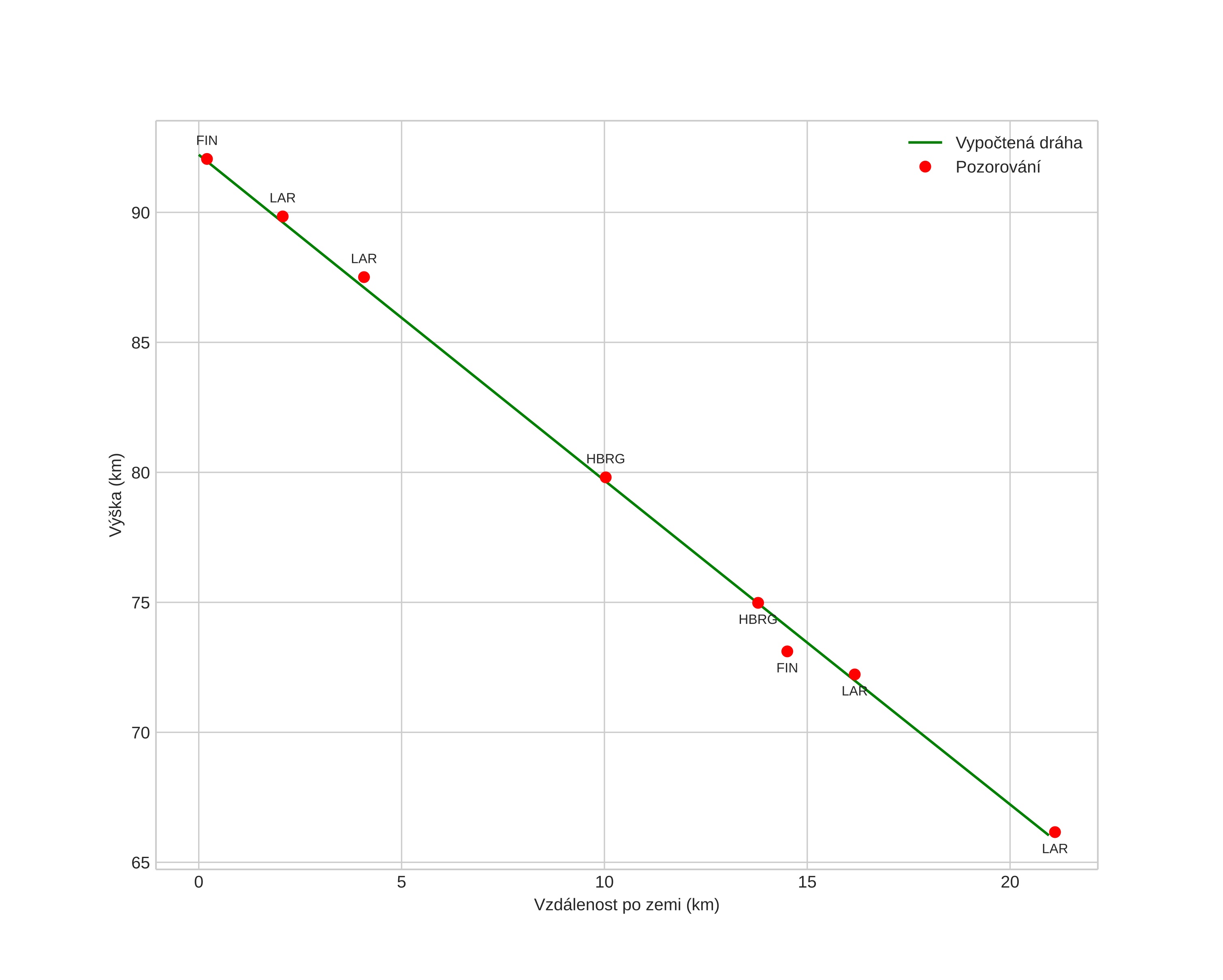
height profile
Atmosférická dráha meteoru:
Počáteční výška: 92,2 km
Konečná výška: 72,1 km
Počáteční poloha: 60,234N 12,720E
Konečná poloha: 60,315N 12,480E
Směr: 304,4°
Sklon: 51,5°
VstupnĂ­ rychlost: 39,8 km/s
Rektascenze radiantu: 07:16 (109,0°)
Deklinace radiantu: 29,7°
MeteorickĂ˝ roj: Geminidy
Elementy dráhy meteoroidu:
Vzdálenost v periheliu: 0,142 AU
Excentricita: 0,946
Sklon dráhy: 17,8°
Délka vzestupného uzlu: 263,1°
Argument perihelia: 319,5°
Střední anomálie: 352,2°
Epocha: 2024 DEC 14 22:24:42
orbit plot

NeinteraktivnĂ­ graf | InteraktivnĂ­ graf

position vs time
speed and acceleration