🇳🇴 🇬🇧 🇩🇪 🇨🇿 🇫🇮

Meteor Kirkenærin yllä 2024-12-14 22:24:42 UTC

KML-tiedosto  |  Interaktiivinen kartta

Kartta näyttää meteorin suuntahavainnot. Vaaleammat viivat näyttävät suunnat havaintoasemilta meteorin ilmestyessä, ja tummemmat viivat näyttävät, missä se viimeksi nähtiin. Sininen nuoli näyttää meteorin näkyvän lennon.

static map
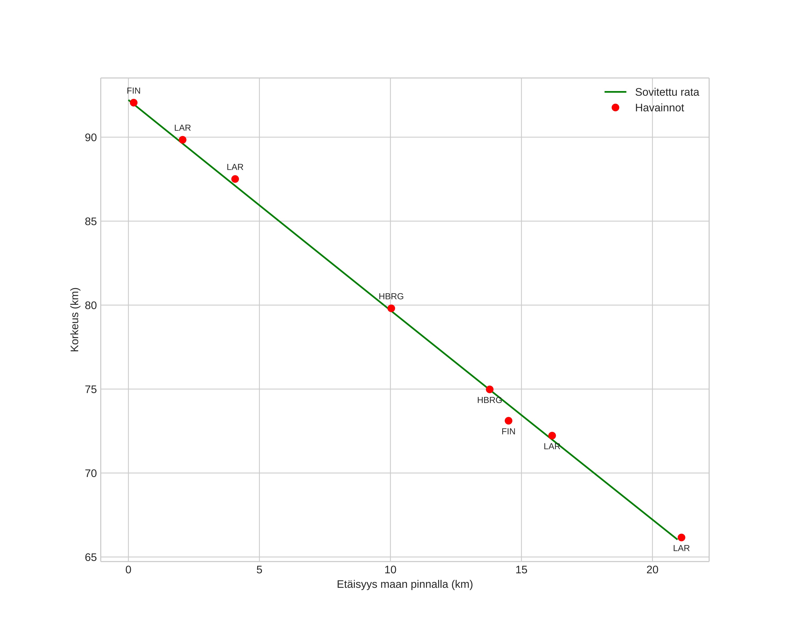
height profile
Meteorin ilmakehärata:
Alkukorkeus: 92,2 km
Loppukorkeus: 72,1 km
Alkupiste: 60,234N 12,720E
Loppupiste: 60,315N 12,480E
Suunta: 304,4°
Kallistuskulma: 51,5°
Tulonopeus: 39,8 km/s
Radiantin R,A,: 07:16 (109,0°)
Radiantin Dekl,: 29,7°
Meteoriparvi: Geminidit
Meteoroidin rataelementit:
Perihelietäisyys: 0,142 AU
Eksentrisyys: 0,946
Inklinaatio: 17,8°
Nousevan solmun pituus: 263,1°
Perihelin argumentti: 319,5°
Keskianomalia: 352,2°
Epookki: 2024 DEC 14 22:24:42
orbit plot

Ei-interaktiivinen kuvaaja | Interaktiivinen kuvaaja

position vs time
speed and acceleration