🇳🇴 🇬🇧 🇩🇪 🇨🇿 🇫🇮

Meteor, poloha: Segalstad bru 2024-12-14 23:09:52 UTC

Soubor KML  |  InteraktivnĂ­ mapa

Mapa zobrazuje dráhy meteoru. Světlejší čáry ukazují směry od pozorovacích stanic při objevení se meteoru a tmavší čáry, kde byl naposledy viděn. Modrá šipka značí viditelnou dráhu meteoru.

static map
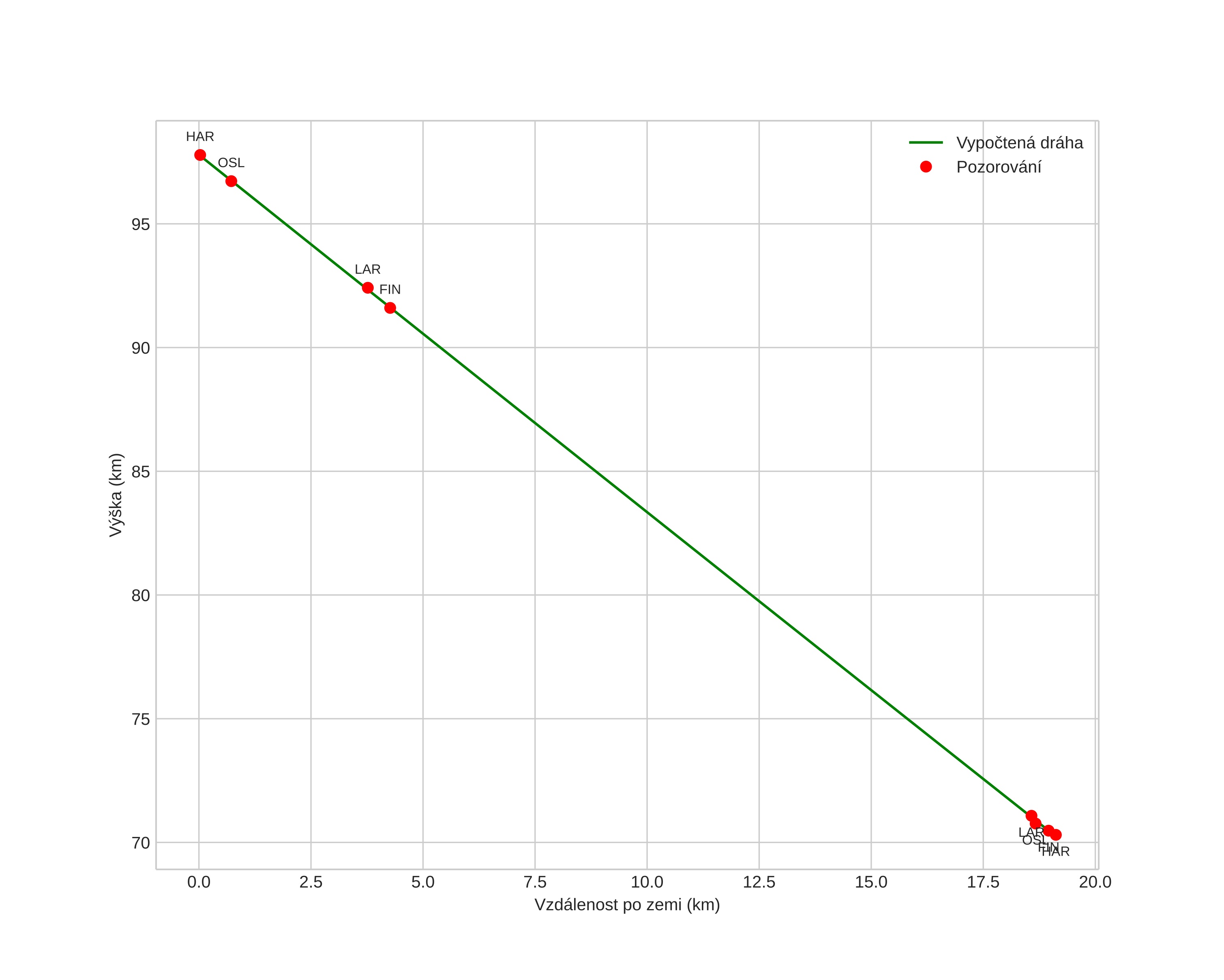
height profile
Atmosférická dráha meteoru:
Počáteční výška: 97,9 km
Konečná výška: 69,9 km
Počáteční poloha: 61,059N 10,573E
Konečná poloha: 61,166N 10,288E
Směr: 308,1°
Sklon: 55,2°
VstupnĂ­ rychlost: 38,0 km/s
Rektascenze radiantu: 07:36 (114,1°)
Deklinace radiantu: 32,6°
MeteorickĂ˝ roj: Geminidy
Elementy dráhy meteoroidu:
Vzdálenost v periheliu: 0,136 AU
Excentricita: 0,915
Sklon dráhy: 26,3°
Délka vzestupného uzlu: 263,1°
Argument perihelia: 323,5°
Střední anomálie: 342,4°
Epocha: 2024 DEC 14 23:09:52
orbit plot

NeinteraktivnĂ­ graf | InteraktivnĂ­ graf

position vs time
speed and acceleration