🇳🇴 🇬🇧 🇩🇪 🇨🇿 🇫🇮

Meteor Segalstad brun yllä 2024-12-14 23:09:52 UTC

KML-tiedosto  |  Interaktiivinen kartta

Kartta näyttää meteorin suuntahavainnot. Vaaleammat viivat näyttävät suunnat havaintoasemilta meteorin ilmestyessä, ja tummemmat viivat näyttävät, missä se viimeksi nähtiin. Sininen nuoli näyttää meteorin näkyvän lennon.

static map
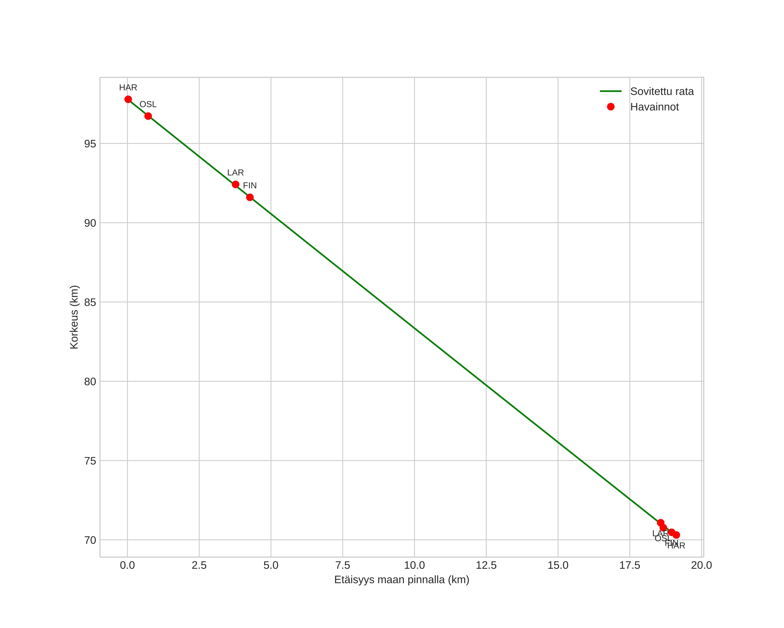
height profile
Meteorin ilmakehärata:
Alkukorkeus: 97,9 km
Loppukorkeus: 69,9 km
Alkupiste: 61,059N 10,573E
Loppupiste: 61,166N 10,288E
Suunta: 308,1°
Kallistuskulma: 55,2°
Tulonopeus: 38,0 km/s
Radiantin R,A,: 07:36 (114,1°)
Radiantin Dekl,: 32,6°
Meteoriparvi: Geminidit
Meteoroidin rataelementit:
Perihelietäisyys: 0,136 AU
Eksentrisyys: 0,915
Inklinaatio: 26,3°
Nousevan solmun pituus: 263,1°
Perihelin argumentti: 323,5°
Keskianomalia: 342,4°
Epookki: 2024 DEC 14 23:09:52
orbit plot

Ei-interaktiivinen kuvaaja | Interaktiivinen kuvaaja

position vs time
speed and acceleration