🇳🇴 🇬🇧 🇩🇪 🇨🇿 🇫🇮

Meteor, poloha: Vansbro 2024-12-16 03:01:12 UTC

Soubor KML  |  InteraktivnĂ­ mapa

Mapa zobrazuje dráhy meteoru. Světlejší čáry ukazují směry od pozorovacích stanic při objevení se meteoru a tmavší čáry, kde byl naposledy viděn. Modrá šipka značí viditelnou dráhu meteoru.

static map
height profile
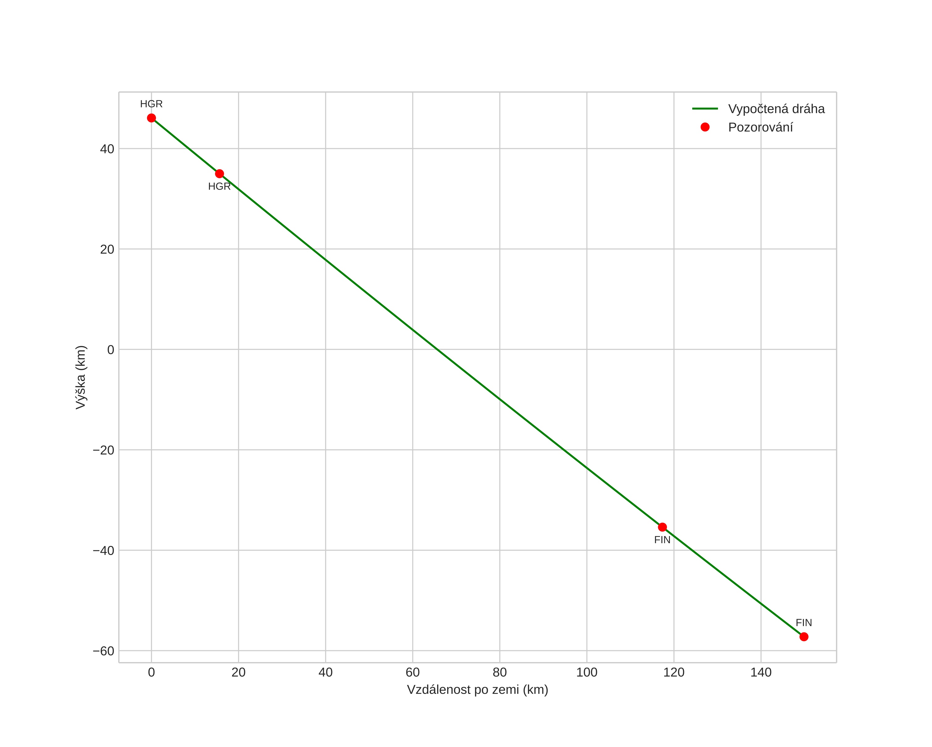
Atmosférická dráha meteoru:
Počáteční výška: 46,8 km
Konečná výška: -59,0 km
Počáteční poloha: 61,003N 11,660E
Konečná poloha: 60,418N 14,234E
Směr: 113,8°
Sklon: 34,4°
VstupnĂ­ rychlost: 0,9 km/s
position vs time
speed and acceleration