🇳🇴 🇬🇧 🇩🇪 🇨🇿 🇫🇮

Meteor über Vansbro 2024-12-16 03:01:12 UTC

KML-Datei  |  Interaktive Karte

Die Karte zeigt die Peilungen für den Meteor. Die helleren Linien zeigen die Richtungen von den Beobachtungsorten beim Erscheinen des Meteors, und die dunkleren Linien, wo er zuletzt gesehen wurde. Der blaue Pfeil zeigt die sichtbare Bahn des Meteors.

static map
height profile
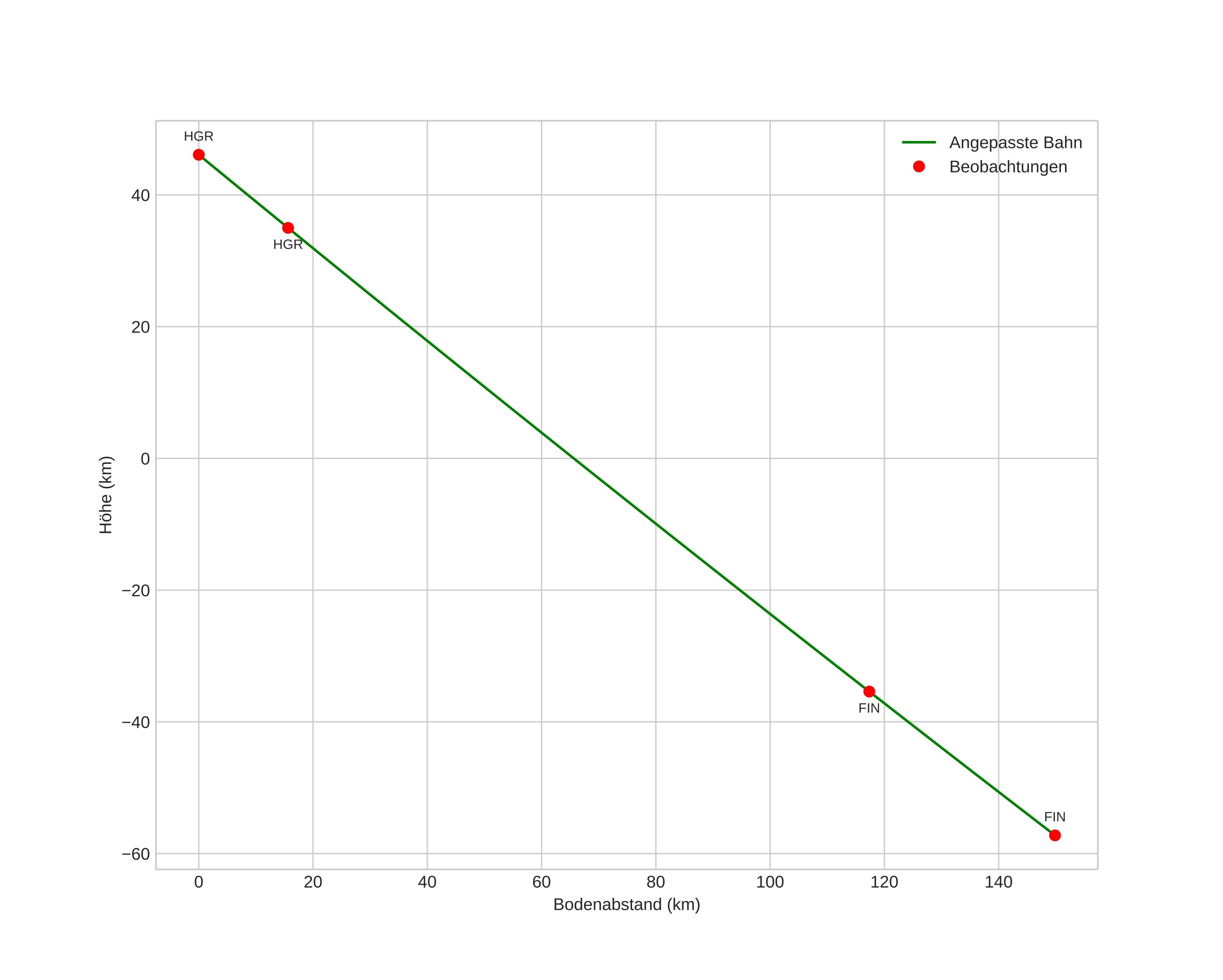
Atmosphärische Bahn des Meteors:
Anfangshöhe: 46,8 km
Endhöhe: -59,0 km
Startposition: 61,003N 11,660E
Endposition: 60,418N 14,234E
Richtung: 113,8°
Neigungswinkel: 34,4°
Eintrittsgeschwindigkeit: 0,9 km/s
position vs time
speed and acceleration