🇳🇴 🇬🇧 🇩🇪 🇨🇿 🇫🇮

Meteor, poloha: Edsbyn 2024-12-16 20:41:55 UTC

Soubor KML  |  InteraktivnĂ­ mapa

Mapa zobrazuje dráhy meteoru. Světlejší čáry ukazují směry od pozorovacích stanic při objevení se meteoru a tmavší čáry, kde byl naposledy viděn. Modrá šipka značí viditelnou dráhu meteoru.

static map
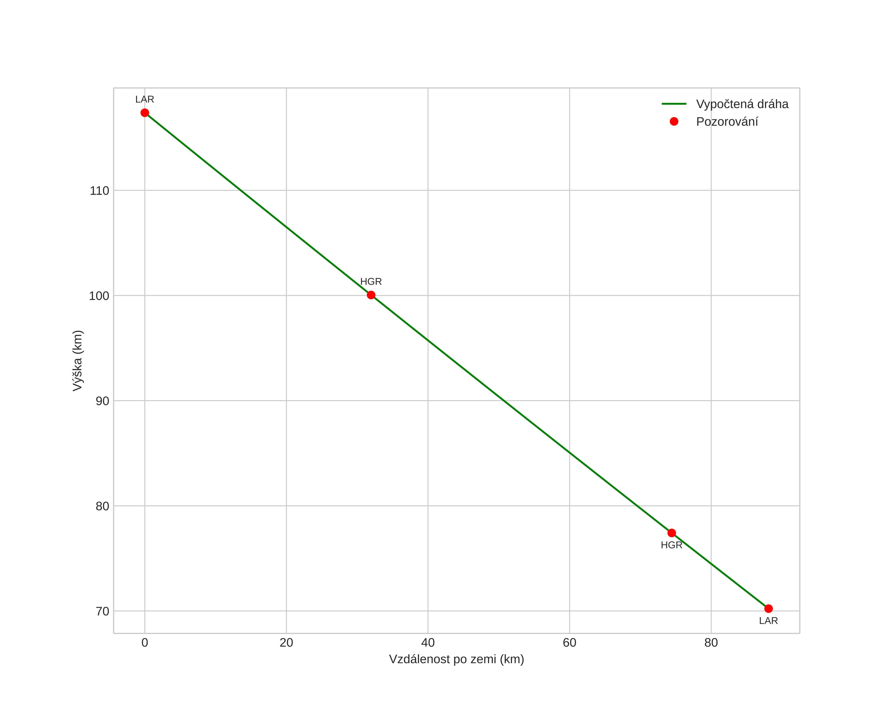
height profile
Atmosférická dráha meteoru:
Počáteční výška: 116,4 km
Konečná výška: 69,5 km
Počáteční poloha: 62,173N 15,563E
Konečná poloha: 61,387N 15,417E
Směr: 185,1°
Sklon: 28,1°
VstupnĂ­ rychlost: 48,6 km/s
Rektascenze radiantu: 14:57 (224,3°)
Deklinace radiantu: 55,0°
MeteorickĂ˝ roj: sporadickĂ˝
Elementy dráhy meteoroidu:
Vzdálenost v periheliu: 0,979 AU
Excentricita: 1,213
Sklon dráhy: 75,6°
Délka vzestupného uzlu: 265,0°
Argument perihelia: 171,8°
Střední anomálie: 0,5°
Epocha: 2024 DEC 16 20:41:55
orbit plot

NeinteraktivnĂ­ graf | InteraktivnĂ­ graf

position vs time
speed and acceleration