🇳🇴 🇬🇧 🇩🇪 🇨🇿 🇫🇮

Meteor Edsbynin yllä 2024-12-16 20:41:55 UTC

KML-tiedosto  |  Interaktiivinen kartta

Kartta näyttää meteorin suuntahavainnot. Vaaleammat viivat näyttävät suunnat havaintoasemilta meteorin ilmestyessä, ja tummemmat viivat näyttävät, missä se viimeksi nähtiin. Sininen nuoli näyttää meteorin näkyvän lennon.

static map
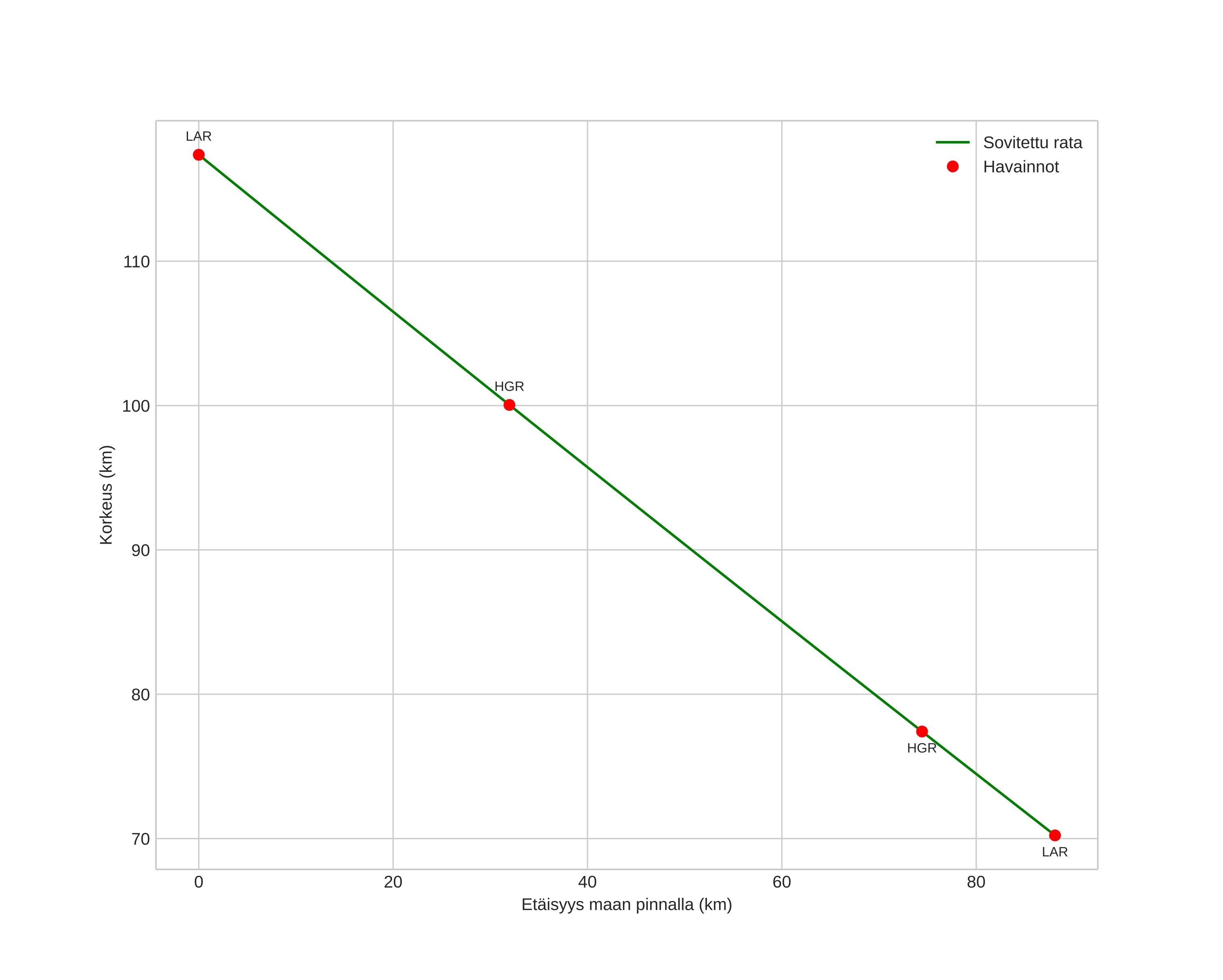
height profile
Meteorin ilmakehärata:
Alkukorkeus: 116,4 km
Loppukorkeus: 69,5 km
Alkupiste: 62,173N 15,563E
Loppupiste: 61,387N 15,417E
Suunta: 185,1°
Kallistuskulma: 28,1°
Tulonopeus: 48,6 km/s
Radiantin R,A,: 14:57 (224,3°)
Radiantin Dekl,: 55,0°
Meteoriparvi: Sporadinen
Meteoroidin rataelementit:
Perihelietäisyys: 0,979 AU
Eksentrisyys: 1,213
Inklinaatio: 75,6°
Nousevan solmun pituus: 265,0°
Perihelin argumentti: 171,8°
Keskianomalia: 0,5°
Epookki: 2024 DEC 16 20:41:55
orbit plot

Ei-interaktiivinen kuvaaja | Interaktiivinen kuvaaja

position vs time
speed and acceleration