🇳🇴 🇬🇧 🇩🇪 🇨🇿 🇫🇮

Meteor, poloha: Innbygda 2024-12-17 00:57:20 UTC

Soubor KML  |  InteraktivnĂ­ mapa

Mapa zobrazuje dráhy meteoru. Světlejší čáry ukazují směry od pozorovacích stanic při objevení se meteoru a tmavší čáry, kde byl naposledy viděn. Modrá šipka značí viditelnou dráhu meteoru.

static map
height profile
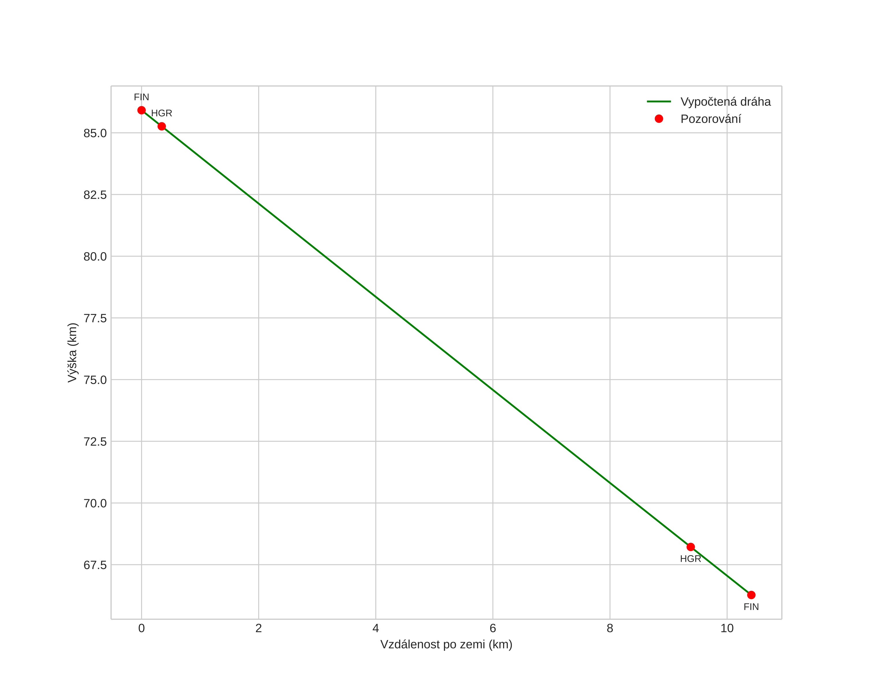
Atmosférická dráha meteoru:
Počáteční výška: 87,4 km
Konečná výška: 66,3 km
Počáteční poloha: 60,916N 12,497E
Konečná poloha: 60,986N 12,645E
Směr: 45,3°
Sklon: 62,0°
VstupnĂ­ rychlost: 24,5 km/s
Rektascenze radiantu: 05:44 (86,1°)
Deklinace radiantu: 36,0°
MeteorickĂ˝ roj: sporadickĂ˝
Elementy dráhy meteoroidu:
Vzdálenost v periheliu: 0,574 AU
Excentricita: 0,717
Sklon dráhy: 9,1°
Délka vzestupného uzlu: 265,2°
Argument perihelia: 269,9°
Střední anomálie: 344,5°
Epocha: 2024 DEC 17 00:57:20
orbit plot

NeinteraktivnĂ­ graf | InteraktivnĂ­ graf

position vs time
speed and acceleration