🇳🇴 🇬🇧 🇩🇪 🇨🇿 🇫🇮

Meteor Innbygdan yllä 2024-12-17 00:57:20 UTC

KML-tiedosto  |  Interaktiivinen kartta

Kartta näyttää meteorin suuntahavainnot. Vaaleammat viivat näyttävät suunnat havaintoasemilta meteorin ilmestyessä, ja tummemmat viivat näyttävät, missä se viimeksi nähtiin. Sininen nuoli näyttää meteorin näkyvän lennon.

static map
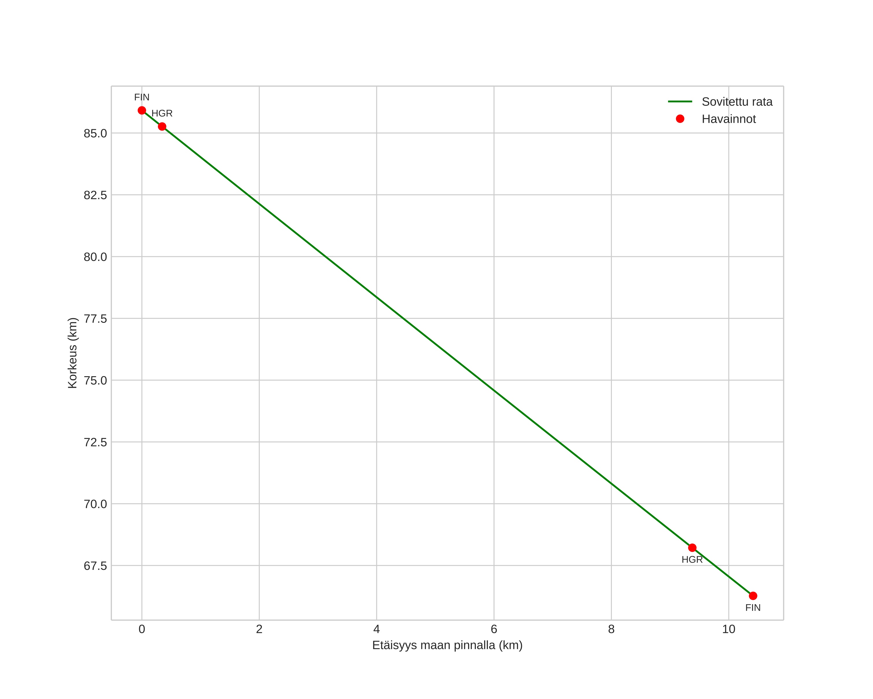
height profile
Meteorin ilmakehärata:
Alkukorkeus: 87,4 km
Loppukorkeus: 66,3 km
Alkupiste: 60,916N 12,497E
Loppupiste: 60,986N 12,645E
Suunta: 45,3°
Kallistuskulma: 62,0°
Tulonopeus: 24,5 km/s
Radiantin R,A,: 05:44 (86,1°)
Radiantin Dekl,: 36,0°
Meteoriparvi: Sporadinen
Meteoroidin rataelementit:
Perihelietäisyys: 0,574 AU
Eksentrisyys: 0,717
Inklinaatio: 9,1°
Nousevan solmun pituus: 265,2°
Perihelin argumentti: 269,9°
Keskianomalia: 344,5°
Epookki: 2024 DEC 17 00:57:20
orbit plot

Ei-interaktiivinen kuvaaja | Interaktiivinen kuvaaja

position vs time
speed and acceleration