🇳🇴 🇬🇧 🇩🇪 🇨🇿 🇫🇮

Meteor, poloha: Mariestad 2024-12-17 04:16:48 UTC

Soubor KML  |  InteraktivnĂ­ mapa

Mapa zobrazuje dráhy meteoru. Světlejší čáry ukazují směry od pozorovacích stanic při objevení se meteoru a tmavší čáry, kde byl naposledy viděn. Modrá šipka značí viditelnou dráhu meteoru.

static map
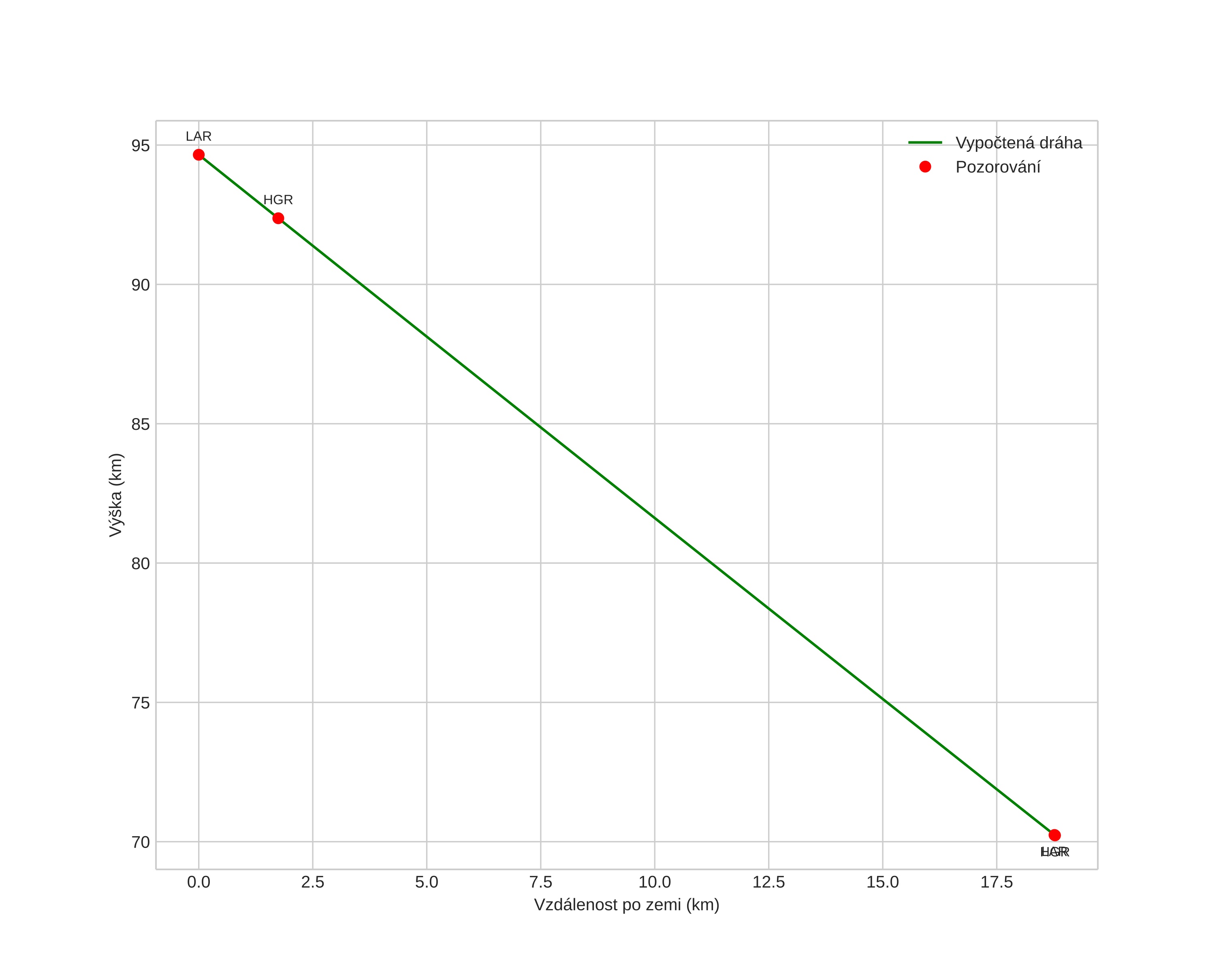
height profile
Atmosférická dráha meteoru:
Počáteční výška: 96,4 km
Konečná výška: 70,2 km
Počáteční poloha: 58,767N 13,520E
Konečná poloha: 58,681N 13,829E
Směr: 118,0°
Sklon: 52,3°
VstupnĂ­ rychlost: 30,9 km/s
Rektascenze radiantu: 05:53 (88,5°)
Deklinace radiantu: 54,4°
MeteorickĂ˝ roj: sporadickĂ˝
Elementy dráhy meteoroidu:
Vzdálenost v periheliu: 0,598 AU
Excentricita: 0,910
Sklon dráhy: 27,5°
Délka vzestupného uzlu: 265,4°
Argument perihelia: 259,9°
Střední anomálie: 357,8°
Epocha: 2024 DEC 17 04:16:48
orbit plot

NeinteraktivnĂ­ graf | InteraktivnĂ­ graf

position vs time
speed and acceleration