🇳🇴 🇬🇧 🇩🇪 🇨🇿 🇫🇮

Meteor Mariestadin yllä 2024-12-17 04:16:48 UTC

KML-tiedosto  |  Interaktiivinen kartta

Kartta näyttää meteorin suuntahavainnot. Vaaleammat viivat näyttävät suunnat havaintoasemilta meteorin ilmestyessä, ja tummemmat viivat näyttävät, missä se viimeksi nähtiin. Sininen nuoli näyttää meteorin näkyvän lennon.

static map
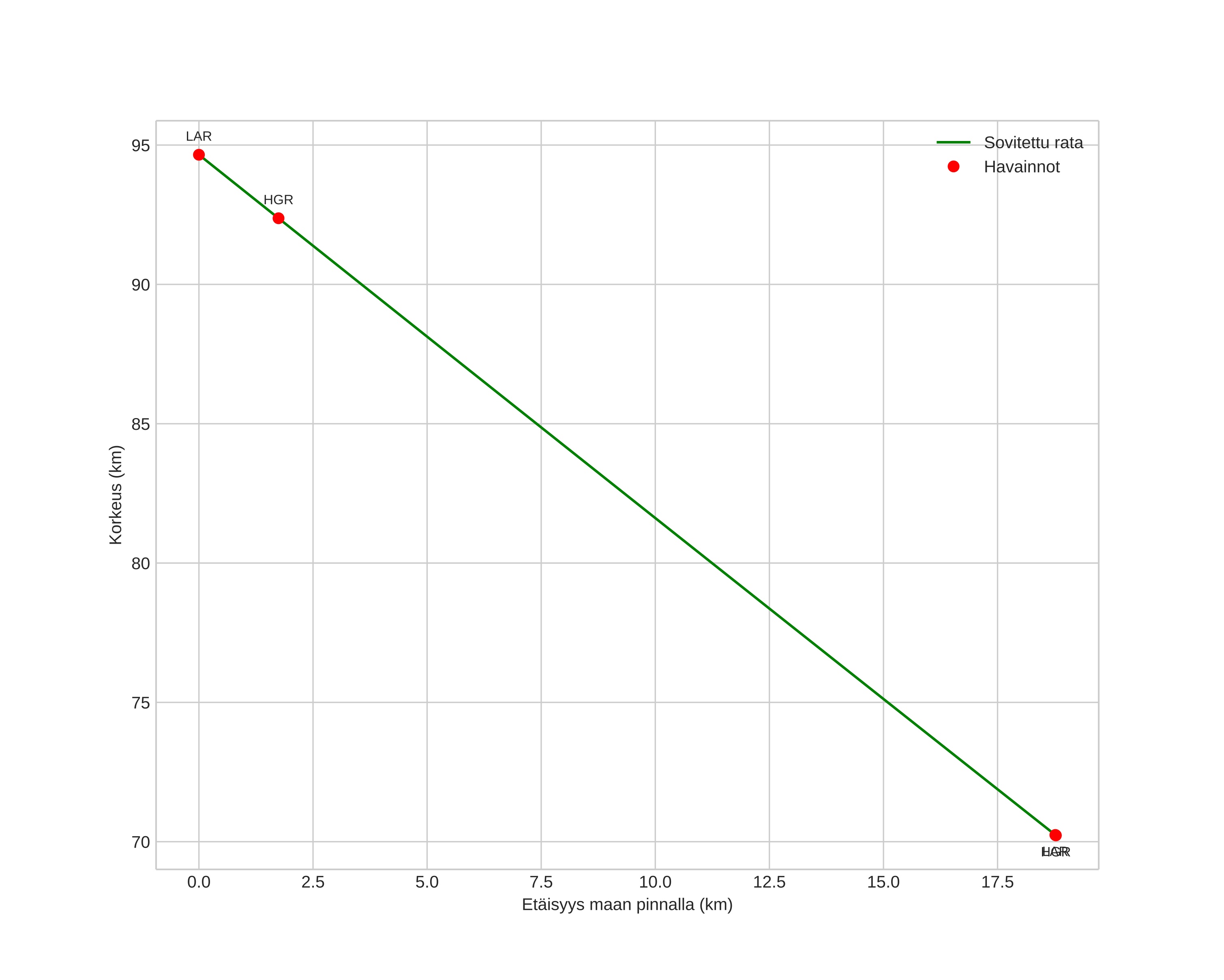
height profile
Meteorin ilmakehärata:
Alkukorkeus: 96,4 km
Loppukorkeus: 70,2 km
Alkupiste: 58,767N 13,520E
Loppupiste: 58,681N 13,829E
Suunta: 118,0°
Kallistuskulma: 52,3°
Tulonopeus: 30,9 km/s
Radiantin R,A,: 05:53 (88,5°)
Radiantin Dekl,: 54,4°
Meteoriparvi: Sporadinen
Meteoroidin rataelementit:
Perihelietäisyys: 0,598 AU
Eksentrisyys: 0,910
Inklinaatio: 27,5°
Nousevan solmun pituus: 265,4°
Perihelin argumentti: 259,9°
Keskianomalia: 357,8°
Epookki: 2024 DEC 17 04:16:48
orbit plot

Ei-interaktiivinen kuvaaja | Interaktiivinen kuvaaja

position vs time
speed and acceleration