🇳🇴 🇬🇧 🇩🇪 🇨🇿 🇫🇮

Meteor, poloha: Mariestad 2024-12-17 04:16:49 UTC

Soubor KML  |  InteraktivnĂ­ mapa

Mapa zobrazuje dráhy meteoru. Světlejší čáry ukazují směry od pozorovacích stanic při objevení se meteoru a tmavší čáry, kde byl naposledy viděn. Modrá šipka značí viditelnou dráhu meteoru.

static map
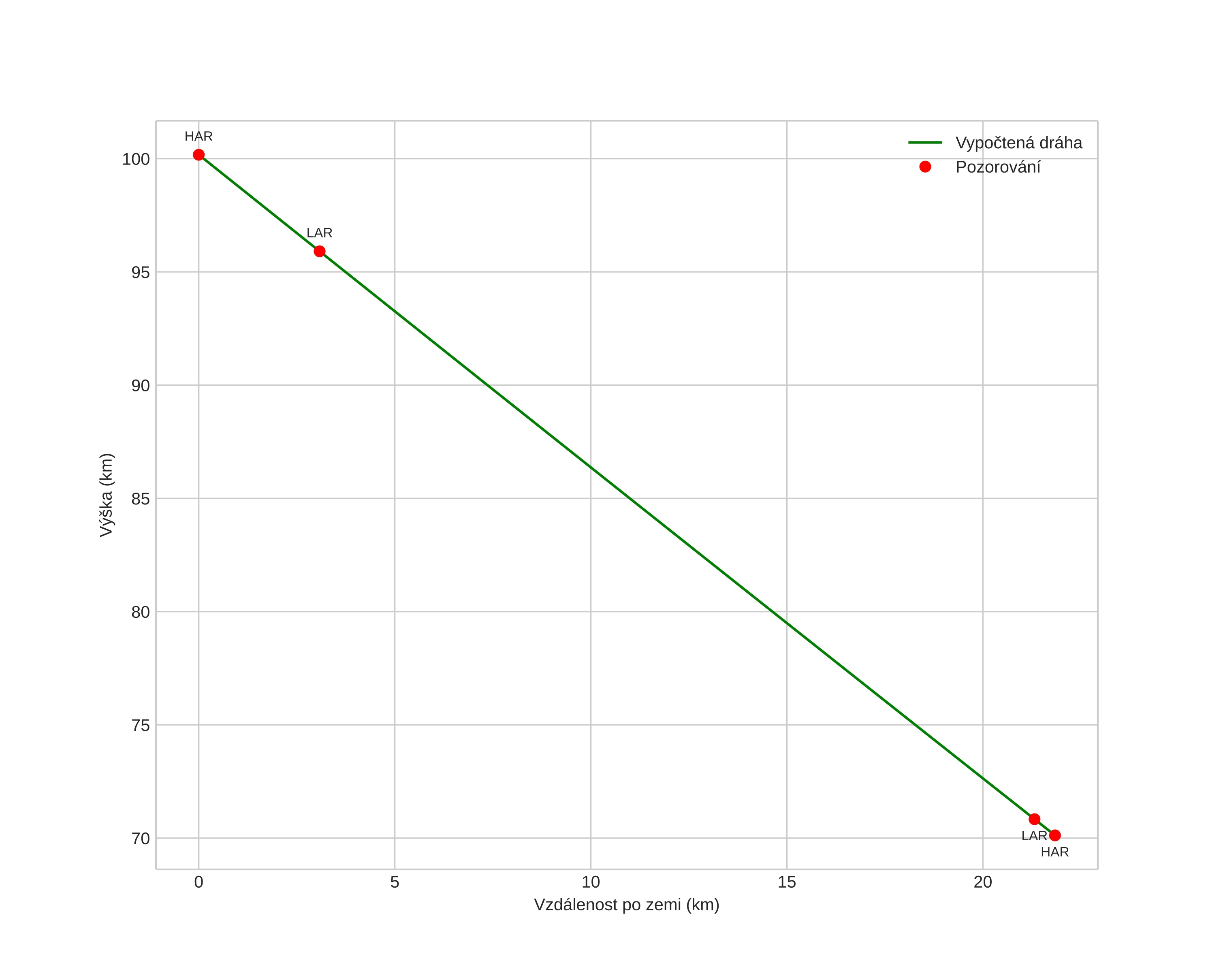
height profile
Atmosférická dráha meteoru:
Počáteční výška: 98,5 km
Konečná výška: 70,5 km
Počáteční poloha: 58,773N 13,495E
Konečná poloha: 58,688N 13,815E
Směr: 117,0°
Sklon: 53,5°
VstupnĂ­ rychlost: 32,6 km/s
Rektascenze radiantu: 06:03 (91,0°)
Deklinace radiantu: 54,7°
MeteorickĂ˝ roj: sporadickĂ˝
Elementy dráhy meteoroidu:
Vzdálenost v periheliu: 0,577 AU
Excentricita: 0,948
Sklon dráhy: 29,9°
Délka vzestupného uzlu: 265,4°
Argument perihelia: 261,4°
Střední anomálie: 359,0°
Epocha: 2024 DEC 17 04:16:49
orbit plot

NeinteraktivnĂ­ graf | InteraktivnĂ­ graf

position vs time
speed and acceleration