🇳🇴 🇬🇧 🇩🇪 🇨🇿 🇫🇮

Meteor Mariestadin yllä 2024-12-17 04:16:49 UTC

KML-tiedosto  |  Interaktiivinen kartta

Kartta näyttää meteorin suuntahavainnot. Vaaleammat viivat näyttävät suunnat havaintoasemilta meteorin ilmestyessä, ja tummemmat viivat näyttävät, missä se viimeksi nähtiin. Sininen nuoli näyttää meteorin näkyvän lennon.

static map
height profile
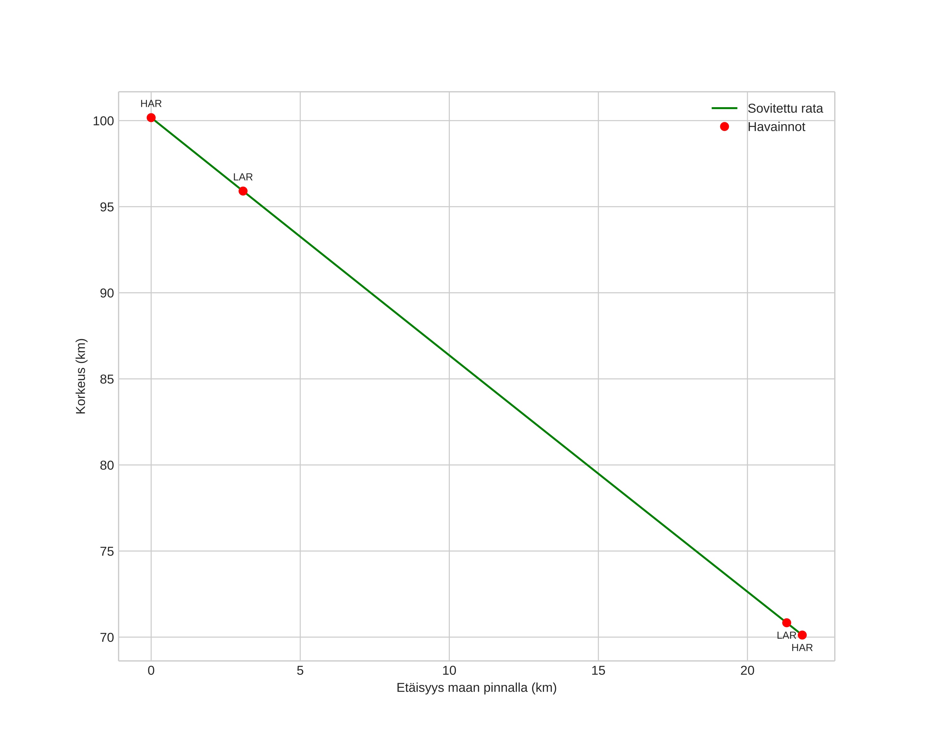
Meteorin ilmakehärata:
Alkukorkeus: 98,5 km
Loppukorkeus: 70,5 km
Alkupiste: 58,773N 13,495E
Loppupiste: 58,688N 13,815E
Suunta: 117,0°
Kallistuskulma: 53,5°
Tulonopeus: 32,6 km/s
Radiantin R,A,: 06:03 (91,0°)
Radiantin Dekl,: 54,7°
Meteoriparvi: Sporadinen
Meteoroidin rataelementit:
Perihelietäisyys: 0,577 AU
Eksentrisyys: 0,948
Inklinaatio: 29,9°
Nousevan solmun pituus: 265,4°
Perihelin argumentti: 261,4°
Keskianomalia: 359,0°
Epookki: 2024 DEC 17 04:16:49
orbit plot

Ei-interaktiivinen kuvaaja | Interaktiivinen kuvaaja

position vs time
speed and acceleration