🇳🇴 🇬🇧 🇩🇪 🇨🇿 🇫🇮

Meteor, poloha: Hov 2024-12-18 23:22:21 UTC

Soubor KML  |  InteraktivnĂ­ mapa

Mapa zobrazuje dráhy meteoru. Světlejší čáry ukazují směry od pozorovacích stanic při objevení se meteoru a tmavší čáry, kde byl naposledy viděn. Modrá šipka značí viditelnou dráhu meteoru.

static map
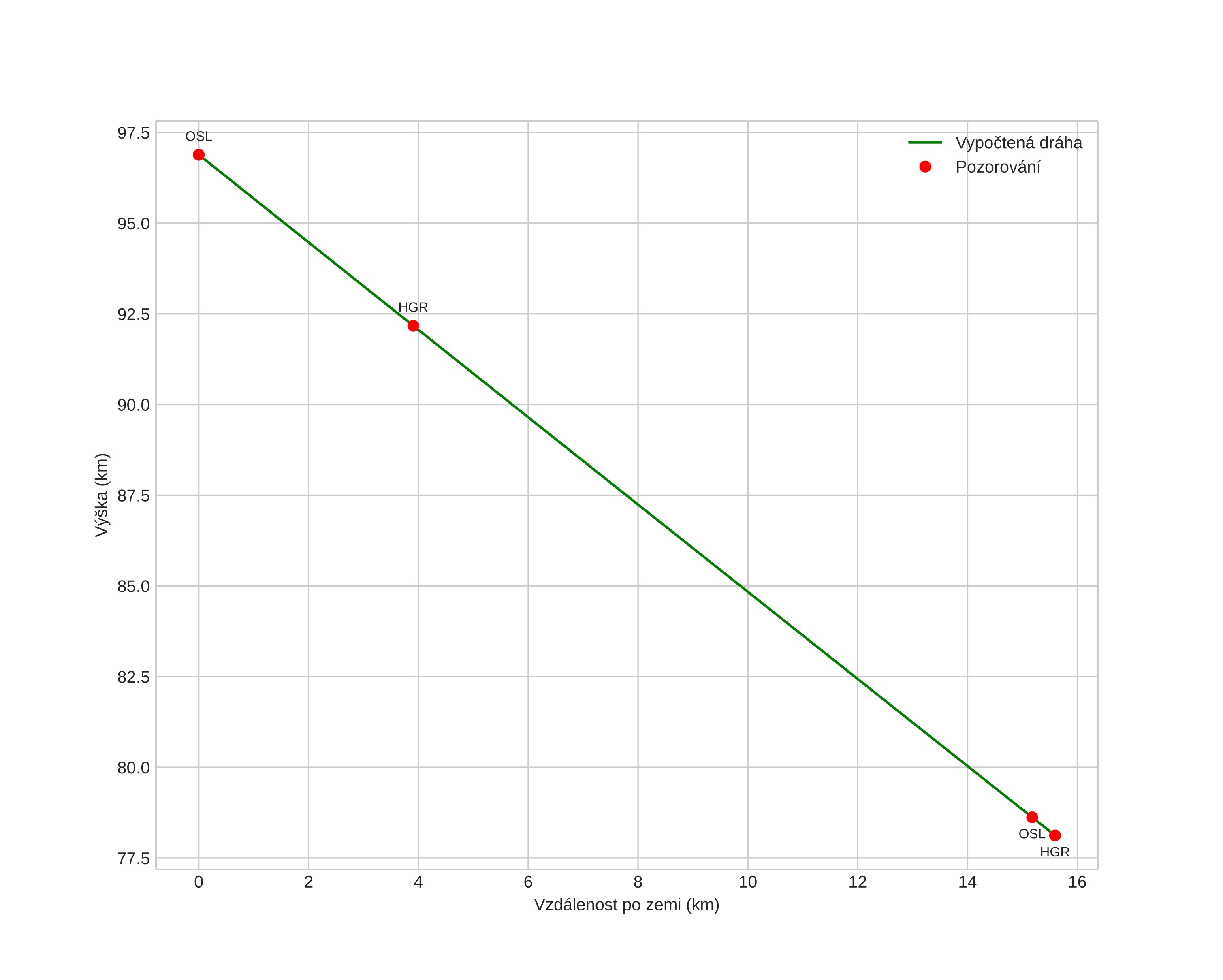
height profile
Atmosférická dráha meteoru:
Počáteční výška: 97,0 km
Konečná výška: 78,1 km
Počáteční poloha: 60,382N 10,264E
Konečná poloha: 60,521N 10,212E
Směr: 349,6°
Sklon: 50,3°
VstupnĂ­ rychlost: 29,4 km/s
Rektascenze radiantu: 06:20 (95,2°)
Deklinace radiantu: 19,4°
MeteorickĂ˝ roj: sporadickĂ˝
Elementy dráhy meteoroidu:
Vzdálenost v periheliu: 0,425 AU
Excentricita: 0,827
Sklon dráhy: 4,1°
Délka vzestupného uzlu: 87,2°
Argument perihelia: 104,7°
Střední anomálie: 349,1°
Epocha: 2024 DEC 18 23:22:21
orbit plot

NeinteraktivnĂ­ graf | InteraktivnĂ­ graf

position vs time
speed and acceleration