🇳🇴 🇬🇧 🇩🇪 🇨🇿 🇫🇮

Meteor Hovin yllä 2024-12-18 23:22:21 UTC

KML-tiedosto  |  Interaktiivinen kartta

Kartta näyttää meteorin suuntahavainnot. Vaaleammat viivat näyttävät suunnat havaintoasemilta meteorin ilmestyessä, ja tummemmat viivat näyttävät, missä se viimeksi nähtiin. Sininen nuoli näyttää meteorin näkyvän lennon.

static map
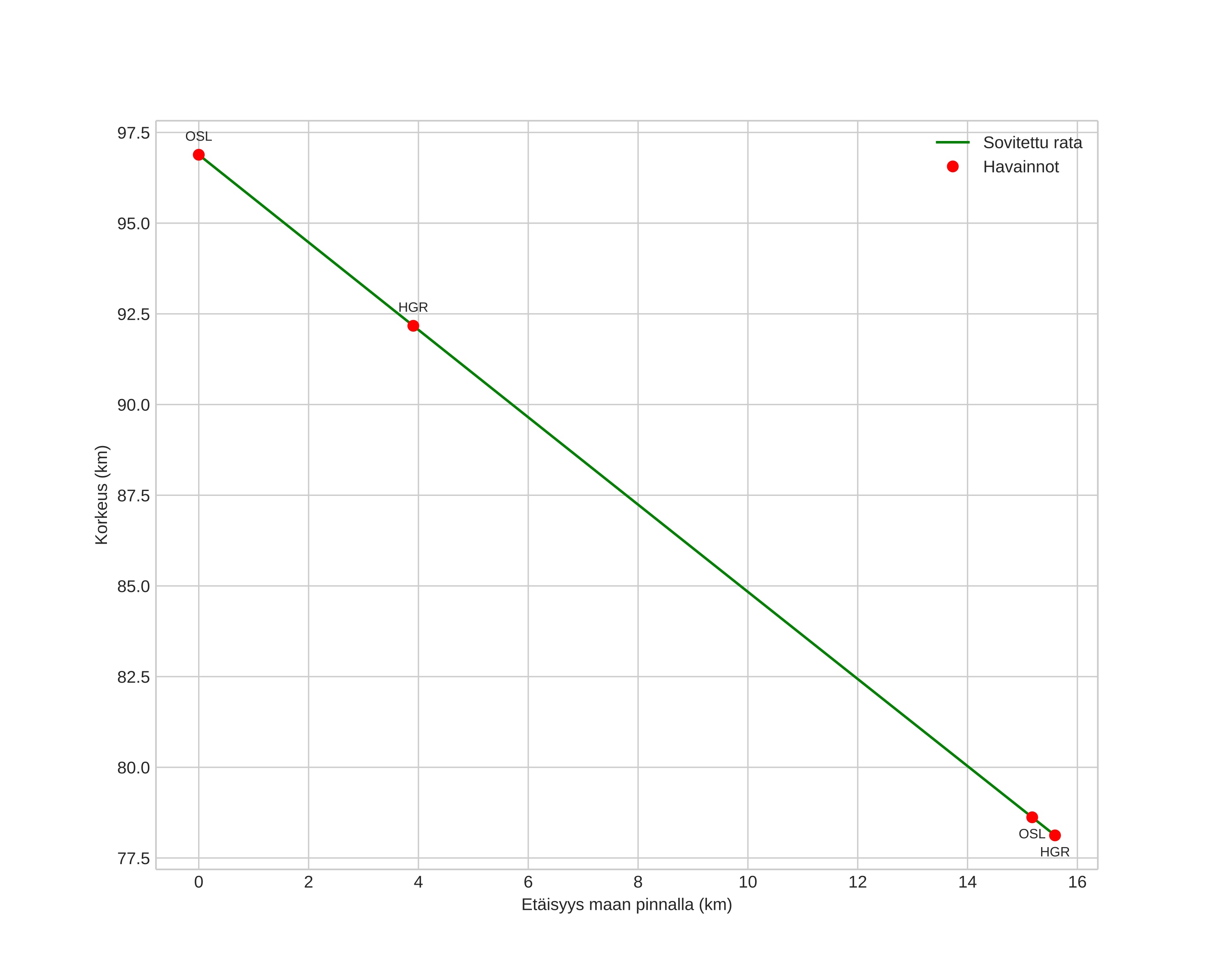
height profile
Meteorin ilmakehärata:
Alkukorkeus: 97,0 km
Loppukorkeus: 78,1 km
Alkupiste: 60,382N 10,264E
Loppupiste: 60,521N 10,212E
Suunta: 349,6°
Kallistuskulma: 50,3°
Tulonopeus: 29,4 km/s
Radiantin R,A,: 06:20 (95,2°)
Radiantin Dekl,: 19,4°
Meteoriparvi: Sporadinen
Meteoroidin rataelementit:
Perihelietäisyys: 0,425 AU
Eksentrisyys: 0,827
Inklinaatio: 4,1°
Nousevan solmun pituus: 87,2°
Perihelin argumentti: 104,7°
Keskianomalia: 349,1°
Epookki: 2024 DEC 18 23:22:21
orbit plot

Ei-interaktiivinen kuvaaja | Interaktiivinen kuvaaja

position vs time
speed and acceleration