🇳🇴 🇬🇧 🇩🇪 🇨🇿 🇫🇮

Meteor, poloha: Ålbæk 2024-12-20 01:20:40 UTC

Soubor KML  |  InteraktivnĂ­ mapa

Mapa zobrazuje dráhy meteoru. Světlejší čáry ukazují směry od pozorovacích stanic při objevení se meteoru a tmavší čáry, kde byl naposledy viděn. Modrá šipka značí viditelnou dráhu meteoru.

static map
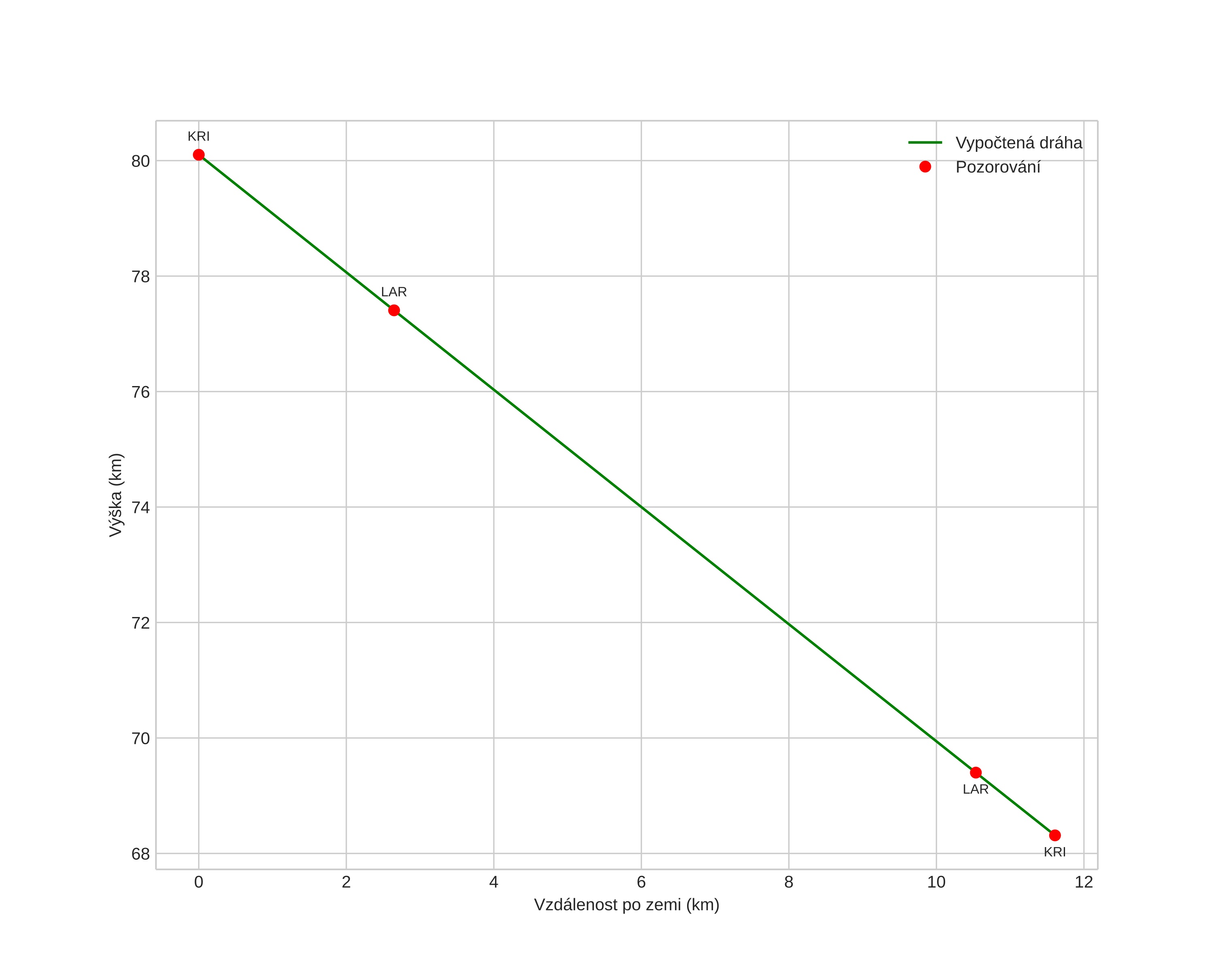
height profile
Atmosférická dráha meteoru:
Počáteční výška: 80,1 km
Konečná výška: 68,3 km
Počáteční poloha: 57,807N 10,168E
Konečná poloha: 57,856N 10,343E
Směr: 62,2°
Sklon: 45,3°
VstupnĂ­ rychlost: 18,2 km/s
Rektascenze radiantu: 04:47 (72,0°)
Deklinace radiantu: 20,3°
MeteorickĂ˝ roj: sporadickĂ˝
Elementy dráhy meteoroidu:
Vzdálenost v periheliu: 0,787 AU
Excentricita: 0,611
Sklon dráhy: 0,9°
Délka vzestupného uzlu: 88,5°
Argument perihelia: 61,5°
Střední anomálie: 346,2°
Epocha: 2024 DEC 20 01:20:40
orbit plot

NeinteraktivnĂ­ graf | InteraktivnĂ­ graf

position vs time
speed and acceleration