🇳🇴 🇬🇧 🇩🇪 🇨🇿 🇫🇮

Meteor Ålbækin yllä 2024-12-20 01:20:40 UTC

KML-tiedosto  |  Interaktiivinen kartta

Kartta näyttää meteorin suuntahavainnot. Vaaleammat viivat näyttävät suunnat havaintoasemilta meteorin ilmestyessä, ja tummemmat viivat näyttävät, missä se viimeksi nähtiin. Sininen nuoli näyttää meteorin näkyvän lennon.

static map
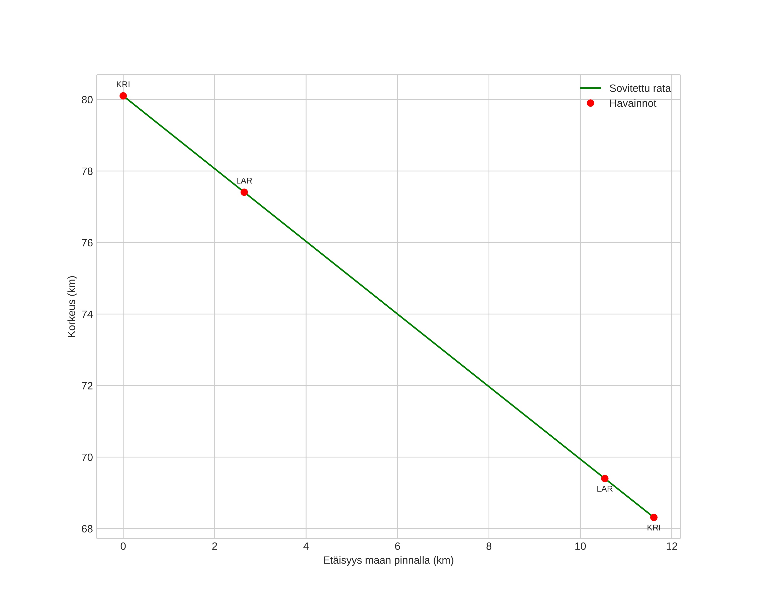
height profile
Meteorin ilmakehärata:
Alkukorkeus: 80,1 km
Loppukorkeus: 68,3 km
Alkupiste: 57,807N 10,168E
Loppupiste: 57,856N 10,343E
Suunta: 62,2°
Kallistuskulma: 45,3°
Tulonopeus: 18,2 km/s
Radiantin R,A,: 04:47 (72,0°)
Radiantin Dekl,: 20,3°
Meteoriparvi: Sporadinen
Meteoroidin rataelementit:
Perihelietäisyys: 0,787 AU
Eksentrisyys: 0,611
Inklinaatio: 0,9°
Nousevan solmun pituus: 88,5°
Perihelin argumentti: 61,5°
Keskianomalia: 346,2°
Epookki: 2024 DEC 20 01:20:40
orbit plot

Ei-interaktiivinen kuvaaja | Interaktiivinen kuvaaja

position vs time
speed and acceleration