🇳🇴 🇬🇧 🇩🇪 🇨🇿 🇫🇮

Meteor, poloha: Fyresdal 2024-12-20 02:13:33 UTC

Soubor KML  |  InteraktivnĂ­ mapa

Mapa zobrazuje dráhy meteoru. Světlejší čáry ukazují směry od pozorovacích stanic při objevení se meteoru a tmavší čáry, kde byl naposledy viděn. Modrá šipka značí viditelnou dráhu meteoru.

static map
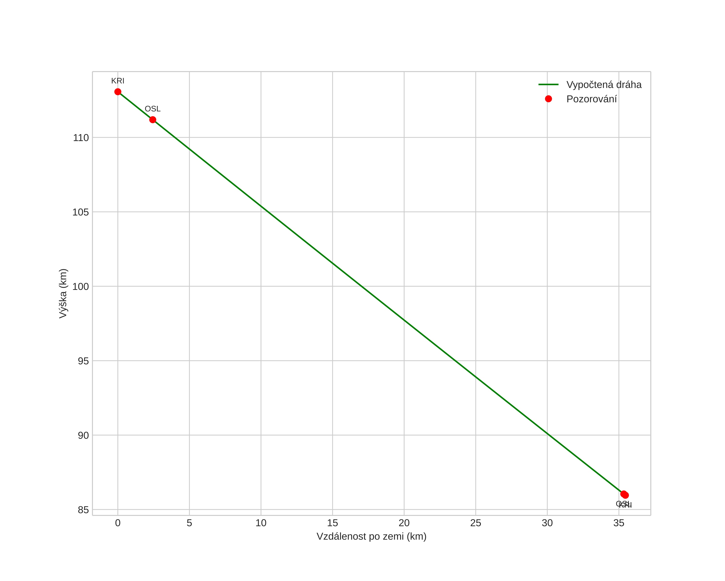
height profile
Atmosférická dráha meteoru:
Počáteční výška: 112,9 km
Konečná výška: 85,9 km
Počáteční poloha: 59,306N 8,535E
Konečná poloha: 59,264N 7,924E
Směr: 262,5°
Sklon: 37,6°
VstupnĂ­ rychlost: 53,8 km/s
Rektascenze radiantu: 13:40 (205,2°)
Deklinace radiantu: 35,0°
MeteorickĂ˝ roj: sporadickĂ˝
Elementy dráhy meteoroidu:
Vzdálenost v periheliu: 0,945 AU
Excentricita: 0,486
Sklon dráhy: 103,6°
Délka vzestupného uzlu: 268,3°
Argument perihelia: 151,7°
Střední anomálie: 8,8°
Epocha: 2024 DEC 20 02:13:33
orbit plot

NeinteraktivnĂ­ graf | InteraktivnĂ­ graf

position vs time
speed and acceleration