🇳🇴 🇬🇧 🇩🇪 🇨🇿 🇫🇮

Meteor Fyresdalin yllä 2024-12-20 02:13:33 UTC

KML-tiedosto  |  Interaktiivinen kartta

Kartta näyttää meteorin suuntahavainnot. Vaaleammat viivat näyttävät suunnat havaintoasemilta meteorin ilmestyessä, ja tummemmat viivat näyttävät, missä se viimeksi nähtiin. Sininen nuoli näyttää meteorin näkyvän lennon.

static map
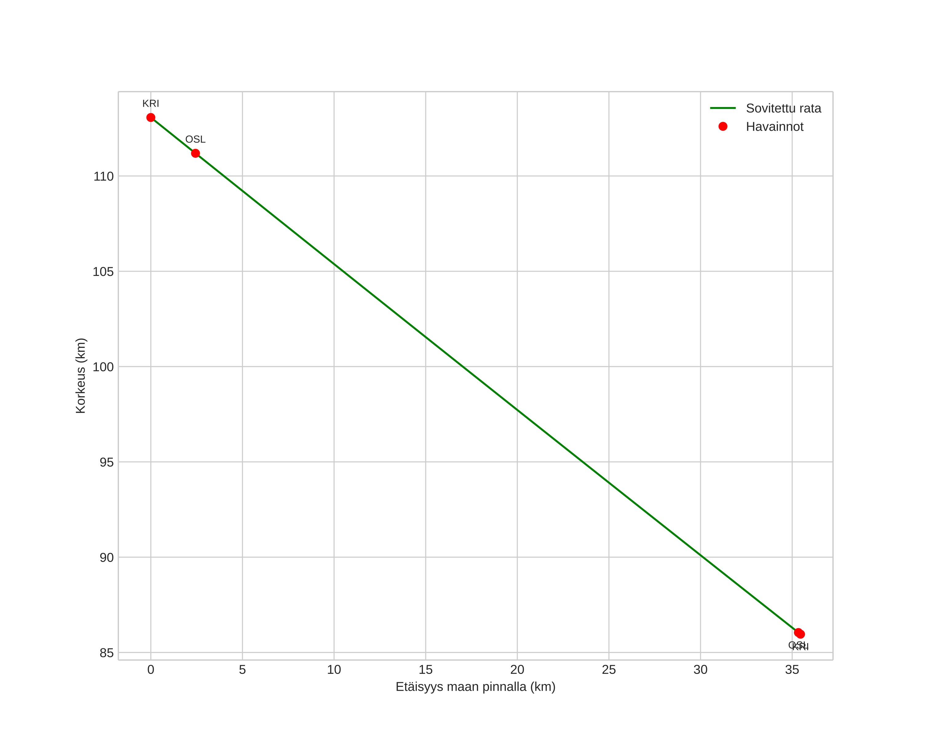
height profile
Meteorin ilmakehärata:
Alkukorkeus: 112,9 km
Loppukorkeus: 85,9 km
Alkupiste: 59,306N 8,535E
Loppupiste: 59,264N 7,924E
Suunta: 262,5°
Kallistuskulma: 37,6°
Tulonopeus: 53,8 km/s
Radiantin R,A,: 13:40 (205,2°)
Radiantin Dekl,: 35,0°
Meteoriparvi: Sporadinen
Meteoroidin rataelementit:
Perihelietäisyys: 0,945 AU
Eksentrisyys: 0,486
Inklinaatio: 103,6°
Nousevan solmun pituus: 268,3°
Perihelin argumentti: 151,7°
Keskianomalia: 8,8°
Epookki: 2024 DEC 20 02:13:33
orbit plot

Ei-interaktiivinen kuvaaja | Interaktiivinen kuvaaja

position vs time
speed and acceleration