🇳🇴 🇬🇧 🇩🇪 🇨🇿 🇫🇮

Meteor, poloha: Tjøme 2024-12-20 04:54:55 UTC

Soubor KML  |  InteraktivnĂ­ mapa

Mapa zobrazuje dráhy meteoru. Světlejší čáry ukazují směry od pozorovacích stanic při objevení se meteoru a tmavší čáry, kde byl naposledy viděn. Modrá šipka značí viditelnou dráhu meteoru.

static map
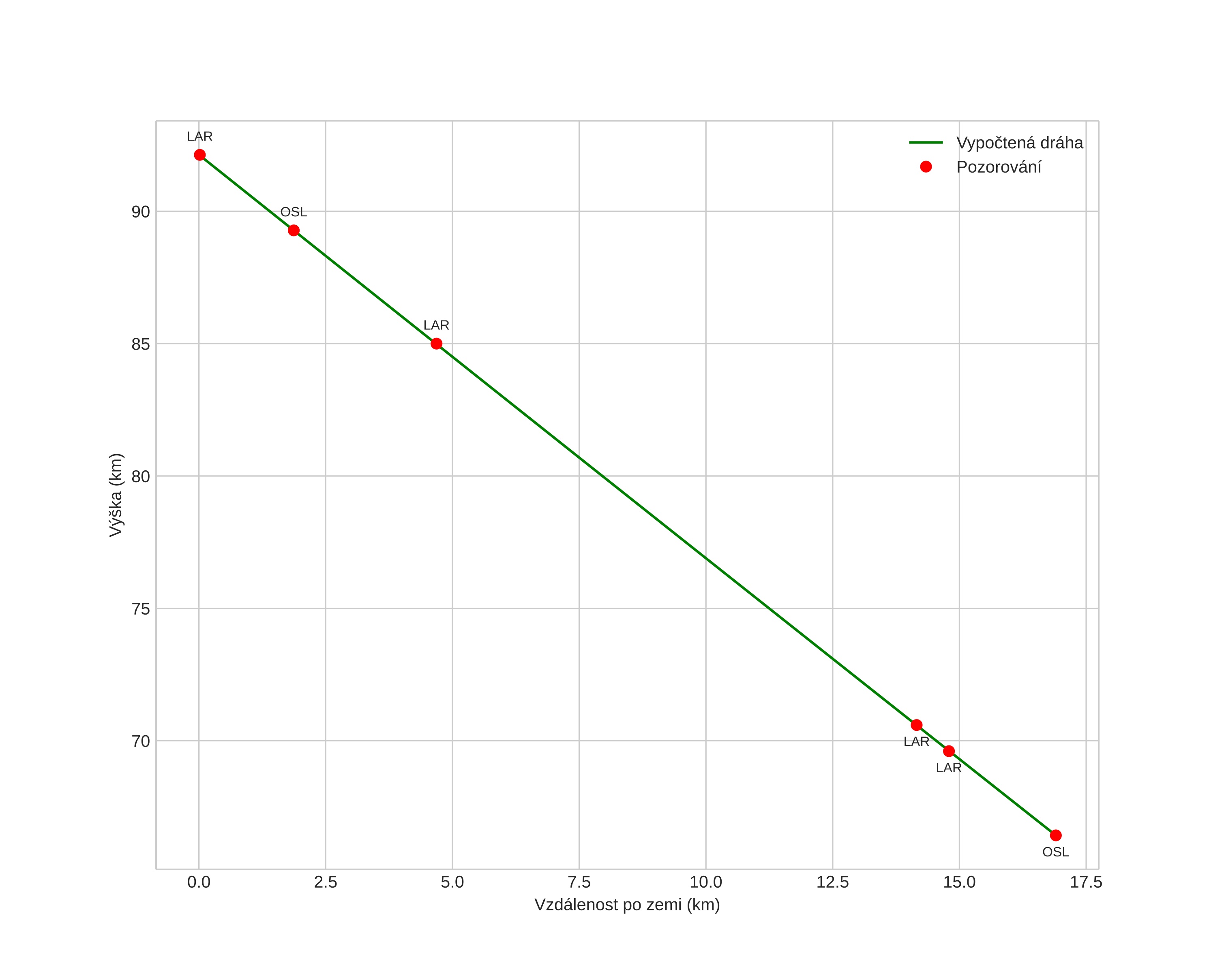
height profile
Atmosférická dráha meteoru:
Počáteční výška: 91,7 km
Konečná výška: 66,2 km
Počáteční poloha: 59,154N 10,424E
Konečná poloha: 59,005N 10,441E
Směr: 176,5°
Sklon: 57,0°
VstupnĂ­ rychlost: 25,1 km/s
Rektascenze radiantu: 01:44 (26,1°)
Deklinace radiantu: 85,2°
MeteorickĂ˝ roj: sporadickĂ˝
Elementy dráhy meteoroidu:
Vzdálenost v periheliu: 0,907 AU
Excentricita: 0,702
Sklon dráhy: 32,6°
Délka vzestupného uzlu: 268,4°
Argument perihelia: 215,8°
Střední anomálie: 355,3°
Epocha: 2024 DEC 20 04:54:55
orbit plot

NeinteraktivnĂ­ graf | InteraktivnĂ­ graf

position vs time
speed and acceleration