🇳🇴 🇬🇧 🇩🇪 🇨🇿 🇫🇮

Meteor Tjømen yllä 2024-12-20 04:54:55 UTC

KML-tiedosto  |  Interaktiivinen kartta

Kartta näyttää meteorin suuntahavainnot. Vaaleammat viivat näyttävät suunnat havaintoasemilta meteorin ilmestyessä, ja tummemmat viivat näyttävät, missä se viimeksi nähtiin. Sininen nuoli näyttää meteorin näkyvän lennon.

static map
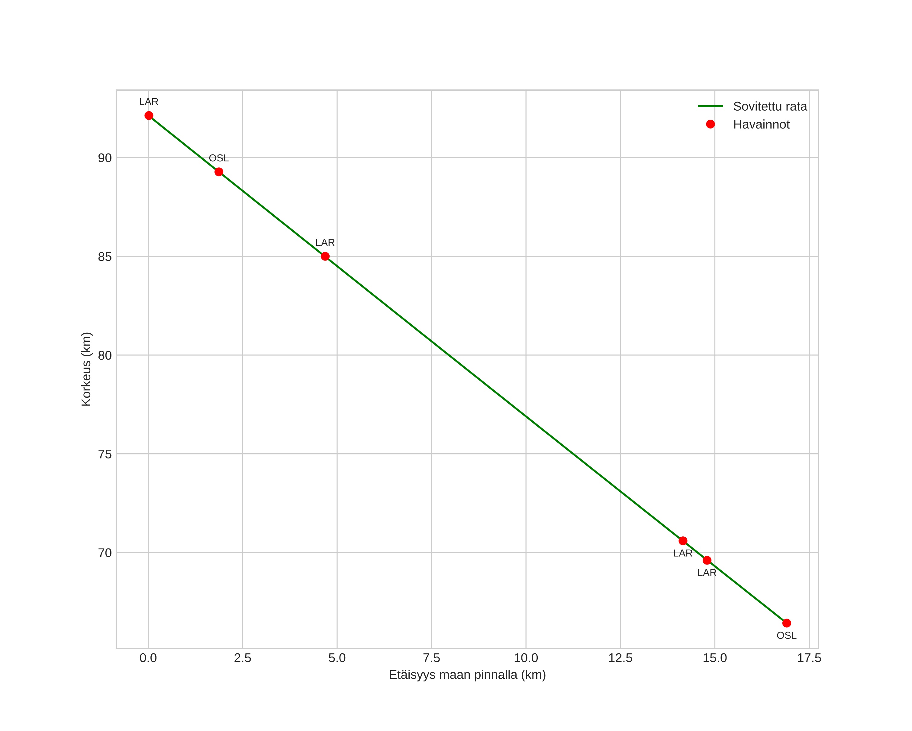
height profile
Meteorin ilmakehärata:
Alkukorkeus: 91,7 km
Loppukorkeus: 66,2 km
Alkupiste: 59,154N 10,424E
Loppupiste: 59,005N 10,441E
Suunta: 176,5°
Kallistuskulma: 57,0°
Tulonopeus: 25,1 km/s
Radiantin R,A,: 01:44 (26,1°)
Radiantin Dekl,: 85,2°
Meteoriparvi: Sporadinen
Meteoroidin rataelementit:
Perihelietäisyys: 0,907 AU
Eksentrisyys: 0,702
Inklinaatio: 32,6°
Nousevan solmun pituus: 268,4°
Perihelin argumentti: 215,8°
Keskianomalia: 355,3°
Epookki: 2024 DEC 20 04:54:55
orbit plot

Ei-interaktiivinen kuvaaja | Interaktiivinen kuvaaja

position vs time
speed and acceleration