🇳🇴 🇬🇧 🇩🇪 🇨🇿 🇫🇮

Meteor, poloha: Arvika 2024-12-20 06:03:56 UTC

Soubor KML  |  InteraktivnĂ­ mapa

Mapa zobrazuje dráhy meteoru. Světlejší čáry ukazují směry od pozorovacích stanic při objevení se meteoru a tmavší čáry, kde byl naposledy viděn. Modrá šipka značí viditelnou dráhu meteoru.

static map
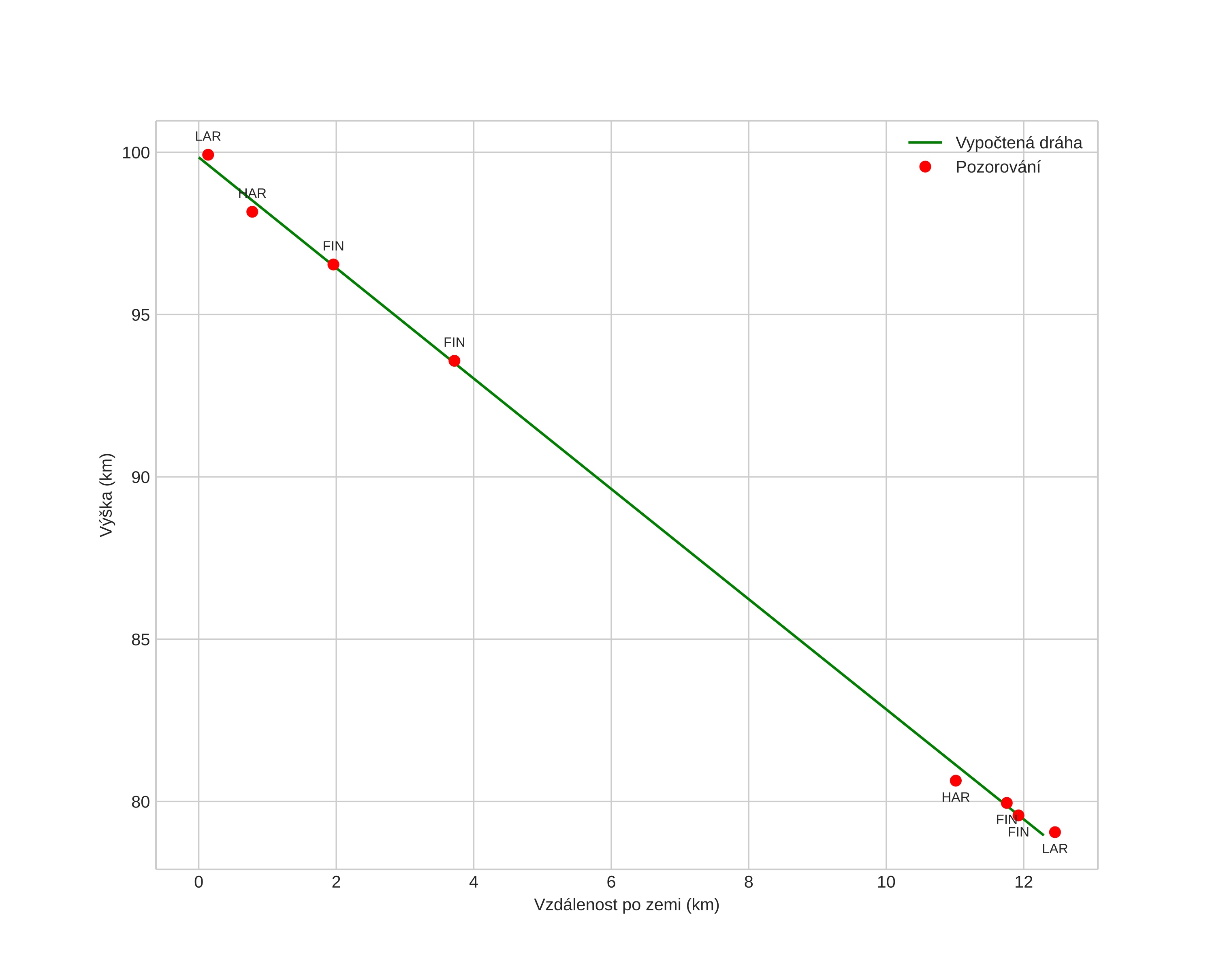
height profile
Atmosférická dráha meteoru:
Počáteční výška: 99,9 km
Konečná výška: 78,9 km
Počáteční poloha: 59,569N 12,651E
Konečná poloha: 59,461N 12,594E
Směr: 195,0°
Sklon: 59,4°
VstupnĂ­ rychlost: 30,9 km/s
Rektascenze radiantu: 19:01 (285,5°)
Deklinace radiantu: 82,6°
MeteorickĂ˝ roj: sporadickĂ˝
Elementy dráhy meteoroidu:
Vzdálenost v periheliu: 0,947 AU
Excentricita: 0,990
Sklon dráhy: 41,7°
Délka vzestupného uzlu: 268,5°
Argument perihelia: 202,5°
Střední anomálie: 360,0°
Epocha: 2024 DEC 20 06:03:56
orbit plot

NeinteraktivnĂ­ graf | InteraktivnĂ­ graf

position vs time
speed and acceleration