🇳🇴 🇬🇧 🇩🇪 🇨🇿 🇫🇮

Meteor Arvikan yllä 2024-12-20 06:03:56 UTC

KML-tiedosto  |  Interaktiivinen kartta

Kartta näyttää meteorin suuntahavainnot. Vaaleammat viivat näyttävät suunnat havaintoasemilta meteorin ilmestyessä, ja tummemmat viivat näyttävät, missä se viimeksi nähtiin. Sininen nuoli näyttää meteorin näkyvän lennon.

static map
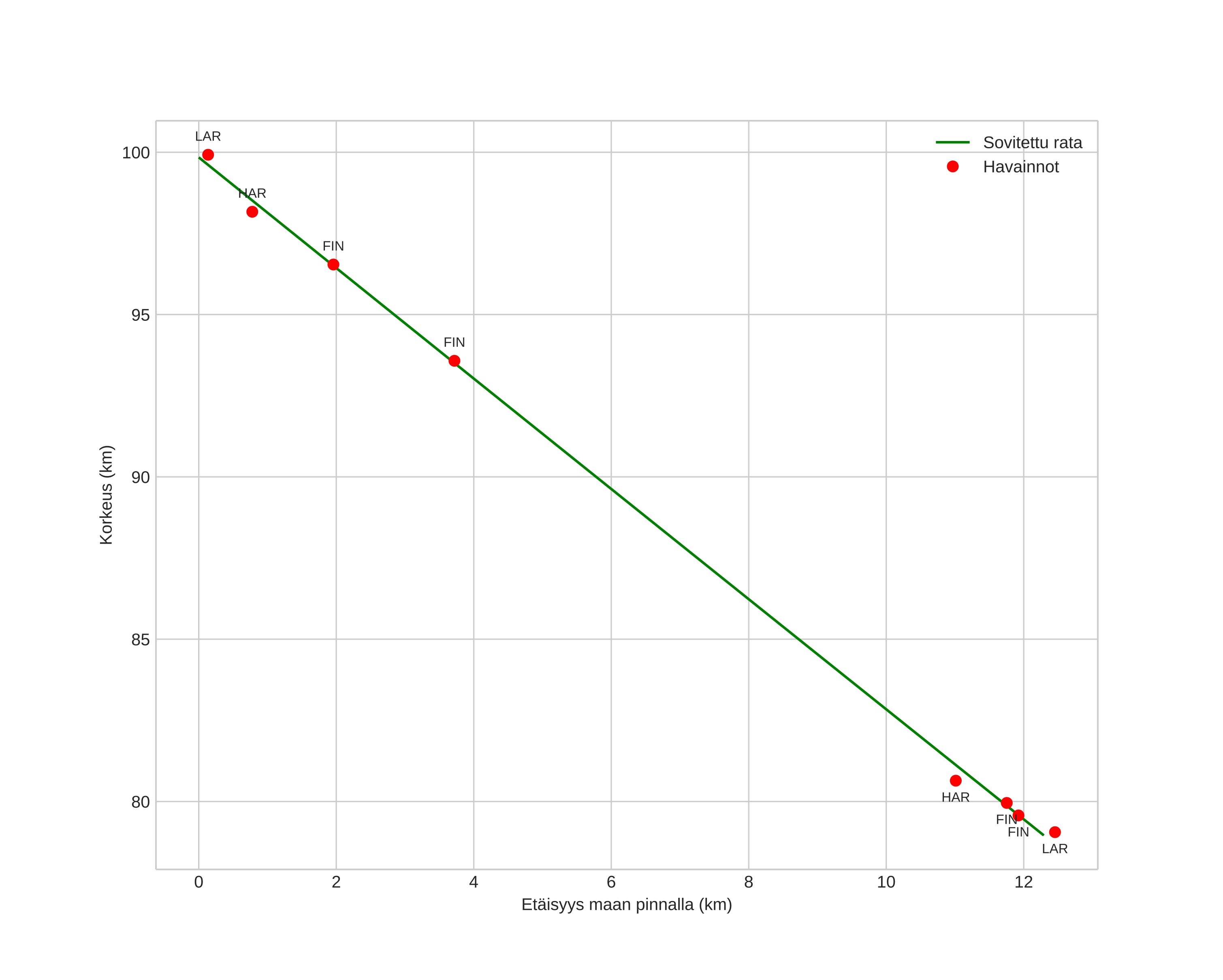
height profile
Meteorin ilmakehärata:
Alkukorkeus: 99,9 km
Loppukorkeus: 78,9 km
Alkupiste: 59,569N 12,651E
Loppupiste: 59,461N 12,594E
Suunta: 195,0°
Kallistuskulma: 59,4°
Tulonopeus: 30,9 km/s
Radiantin R,A,: 19:01 (285,5°)
Radiantin Dekl,: 82,6°
Meteoriparvi: Sporadinen
Meteoroidin rataelementit:
Perihelietäisyys: 0,947 AU
Eksentrisyys: 0,990
Inklinaatio: 41,7°
Nousevan solmun pituus: 268,5°
Perihelin argumentti: 202,5°
Keskianomalia: 360,0°
Epookki: 2024 DEC 20 06:03:56
orbit plot

Ei-interaktiivinen kuvaaja | Interaktiivinen kuvaaja

position vs time
speed and acceleration