🇳🇴 🇬🇧 🇩🇪 🇨🇿 🇫🇮

Meteor, poloha: Ă…mĂĄl 2024-12-20 16:54:42 UTC

Soubor KML  |  InteraktivnĂ­ mapa

Mapa zobrazuje dráhy meteoru. Světlejší čáry ukazují směry od pozorovacích stanic při objevení se meteoru a tmavší čáry, kde byl naposledy viděn. Modrá šipka značí viditelnou dráhu meteoru.

static map
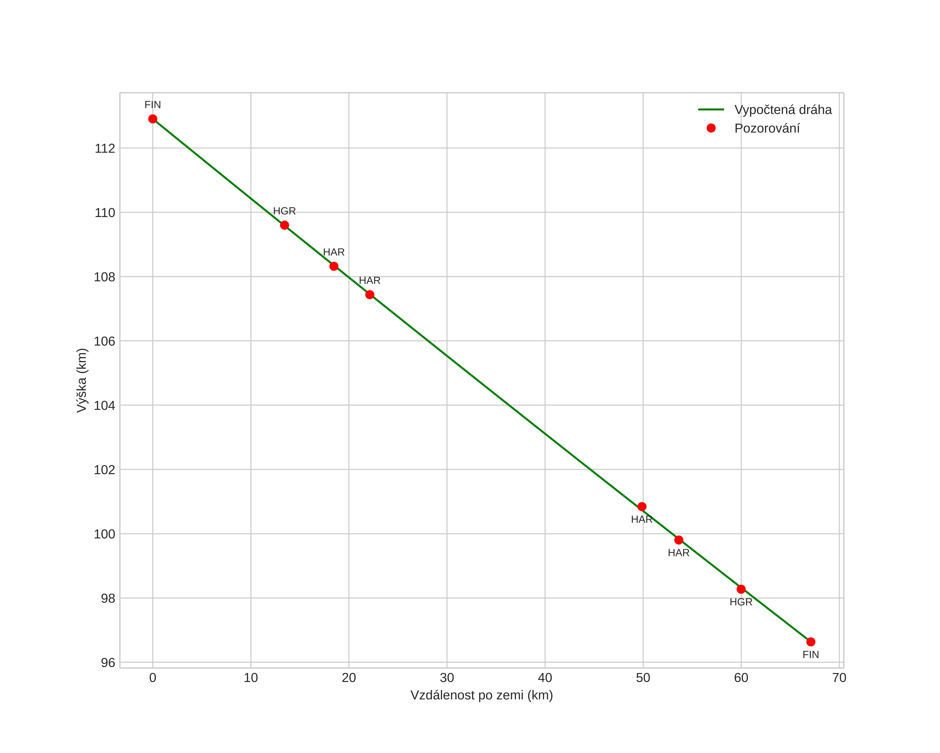
height profile
Atmosférická dráha meteoru:
Počáteční výška: 109,5 km
Konečná výška: 96,0 km
Počáteční poloha: 59,702N 12,962E
Konečná poloha: 59,233N 12,719E
Směr: 194,9°
Sklon: 14,1°
VstupnĂ­ rychlost: 58,8 km/s
Rektascenze radiantu: 10:25 (156,5°)
Deklinace radiantu: 42,4°
MeteorickĂ˝ roj: sporadickĂ˝
Elementy dráhy meteoroidu:
Vzdálenost v periheliu: 0,498 AU
Excentricita: 1,028
Sklon dráhy: 107,9°
Délka vzestupného uzlu: 269,0°
Argument perihelia: 268,6°
Střední anomálie: -0,5°
Epocha: 2024 DEC 20 16:54:42
orbit plot

NeinteraktivnĂ­ graf | InteraktivnĂ­ graf

position vs time
speed and acceleration