🇳🇴 🇬🇧 🇩🇪 🇨🇿 🇫🇮

Meteor Åmålin yllä 2024-12-20 16:54:42 UTC

KML-tiedosto  |  Interaktiivinen kartta

Kartta näyttää meteorin suuntahavainnot. Vaaleammat viivat näyttävät suunnat havaintoasemilta meteorin ilmestyessä, ja tummemmat viivat näyttävät, missä se viimeksi nähtiin. Sininen nuoli näyttää meteorin näkyvän lennon.

static map
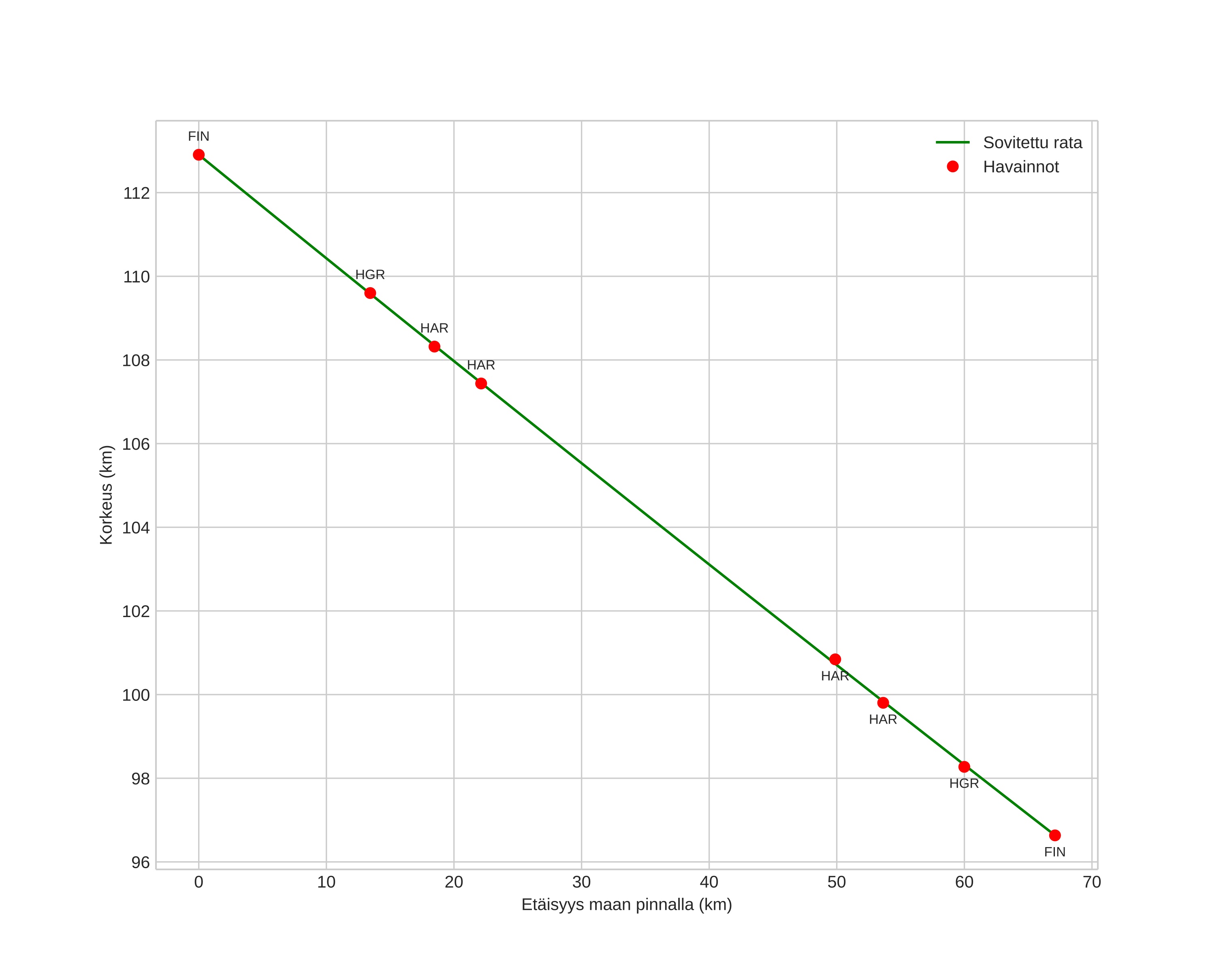
height profile
Meteorin ilmakehärata:
Alkukorkeus: 109,5 km
Loppukorkeus: 96,0 km
Alkupiste: 59,702N 12,962E
Loppupiste: 59,233N 12,719E
Suunta: 194,9°
Kallistuskulma: 14,1°
Tulonopeus: 58,8 km/s
Radiantin R,A,: 10:25 (156,5°)
Radiantin Dekl,: 42,4°
Meteoriparvi: Sporadinen
Meteoroidin rataelementit:
Perihelietäisyys: 0,498 AU
Eksentrisyys: 1,028
Inklinaatio: 107,9°
Nousevan solmun pituus: 269,0°
Perihelin argumentti: 268,6°
Keskianomalia: -0,5°
Epookki: 2024 DEC 20 16:54:42
orbit plot

Ei-interaktiivinen kuvaaja | Interaktiivinen kuvaaja

position vs time
speed and acceleration