🇳🇴 🇬🇧 🇩🇪 🇨🇿 🇫🇮

Meteor, poloha: Andenes 2024-12-21 05:28:08 UTC

Soubor KML  |  InteraktivnĂ­ mapa

Mapa zobrazuje dráhy meteoru. Světlejší čáry ukazují směry od pozorovacích stanic při objevení se meteoru a tmavší čáry, kde byl naposledy viděn. Modrá šipka značí viditelnou dráhu meteoru.

static map
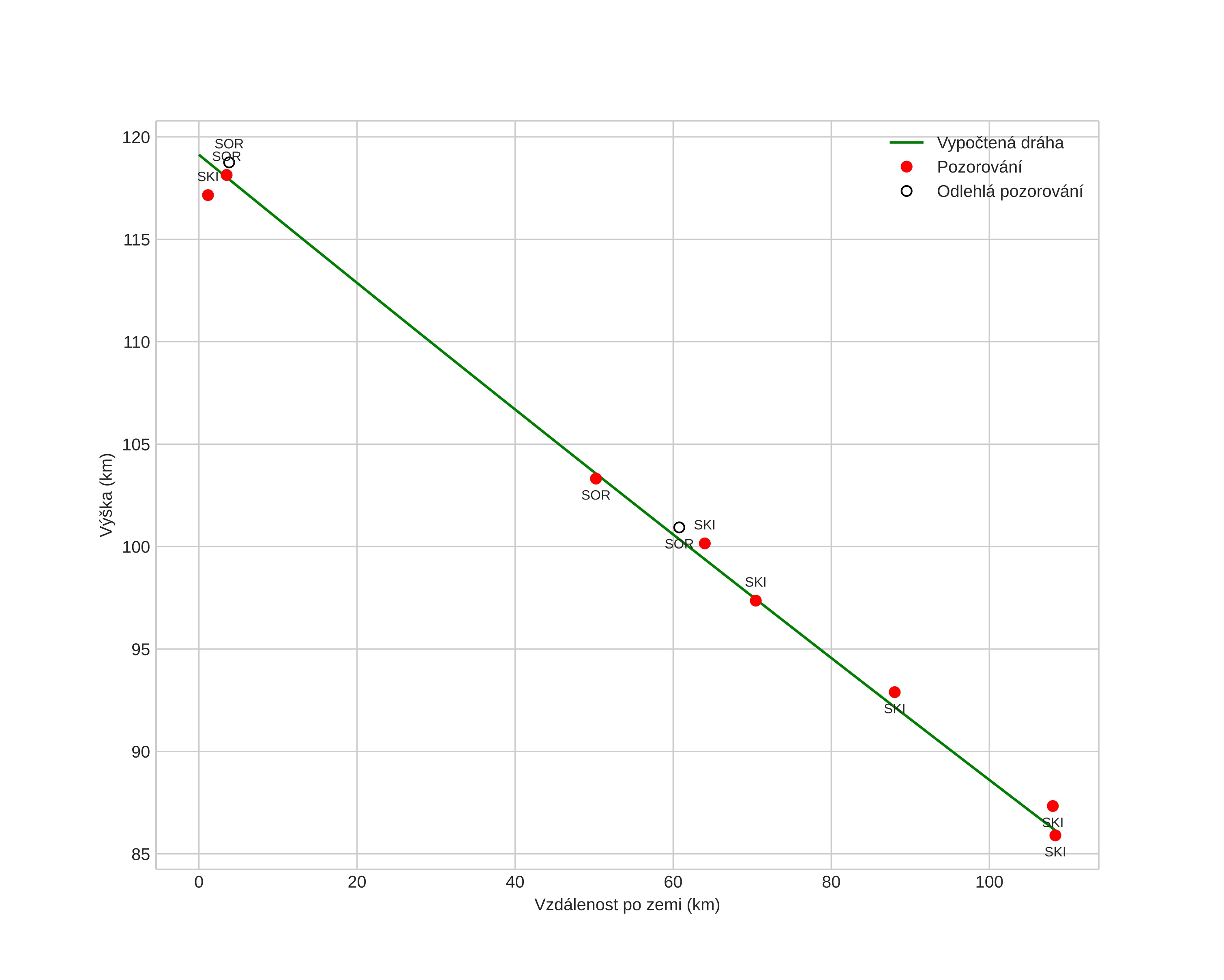
height profile
Atmosférická dráha meteoru:
Počáteční výška: 120,2 km
Konečná výška: 87,1 km
Počáteční poloha: 69,563N 15,167E
Konečná poloha: 70,426N 16,561E
Směr: 28,3°
Sklon: 16,8°
VstupnĂ­ rychlost: 74,3 km/s
Rektascenze radiantu: 10:39 (159,9°)
Deklinace radiantu: -1,7°
MeteorickĂ˝ roj: sporadickĂ˝
Elementy dráhy meteoroidu:
Vzdálenost v periheliu: 0,789 AU
Excentricita: 1,294
Sklon dráhy: 162,8°
Délka vzestupného uzlu: 89,5°
Argument perihelia: 49,5°
Střední anomálie: -6,1°
Epocha: 2024 DEC 21 05:28:08
orbit plot

NeinteraktivnĂ­ graf | InteraktivnĂ­ graf

position vs time
speed and acceleration

Skibotn (SKI) cam1

gnomonic
Videa
Obrázky
• Původní
Textové soubory
• Detekce
• Pozorování
• Souřadnice
• Protokol
Jasnost

Skibotn (SKI) cam5

gnomonic
Videa
Obrázky
• Původní
Textové soubory
• Detekce
• Pozorování
• Souřadnice
• Protokol
Jasnost

Skibotn (SKI) cam6

gnomonic
Videa
Obrázky
• Původní
Textové soubory
• Detekce
• Pozorování
• Souřadnice
• Protokol
Jasnost