🇳🇴 🇬🇧 🇩🇪 🇨🇿 🇫🇮

Meteor über Andenes 2024-12-21 05:28:08 UTC

KML-Datei  |  Interaktive Karte

Die Karte zeigt die Peilungen für den Meteor. Die helleren Linien zeigen die Richtungen von den Beobachtungsorten beim Erscheinen des Meteors, und die dunkleren Linien, wo er zuletzt gesehen wurde. Der blaue Pfeil zeigt die sichtbare Bahn des Meteors.

static map
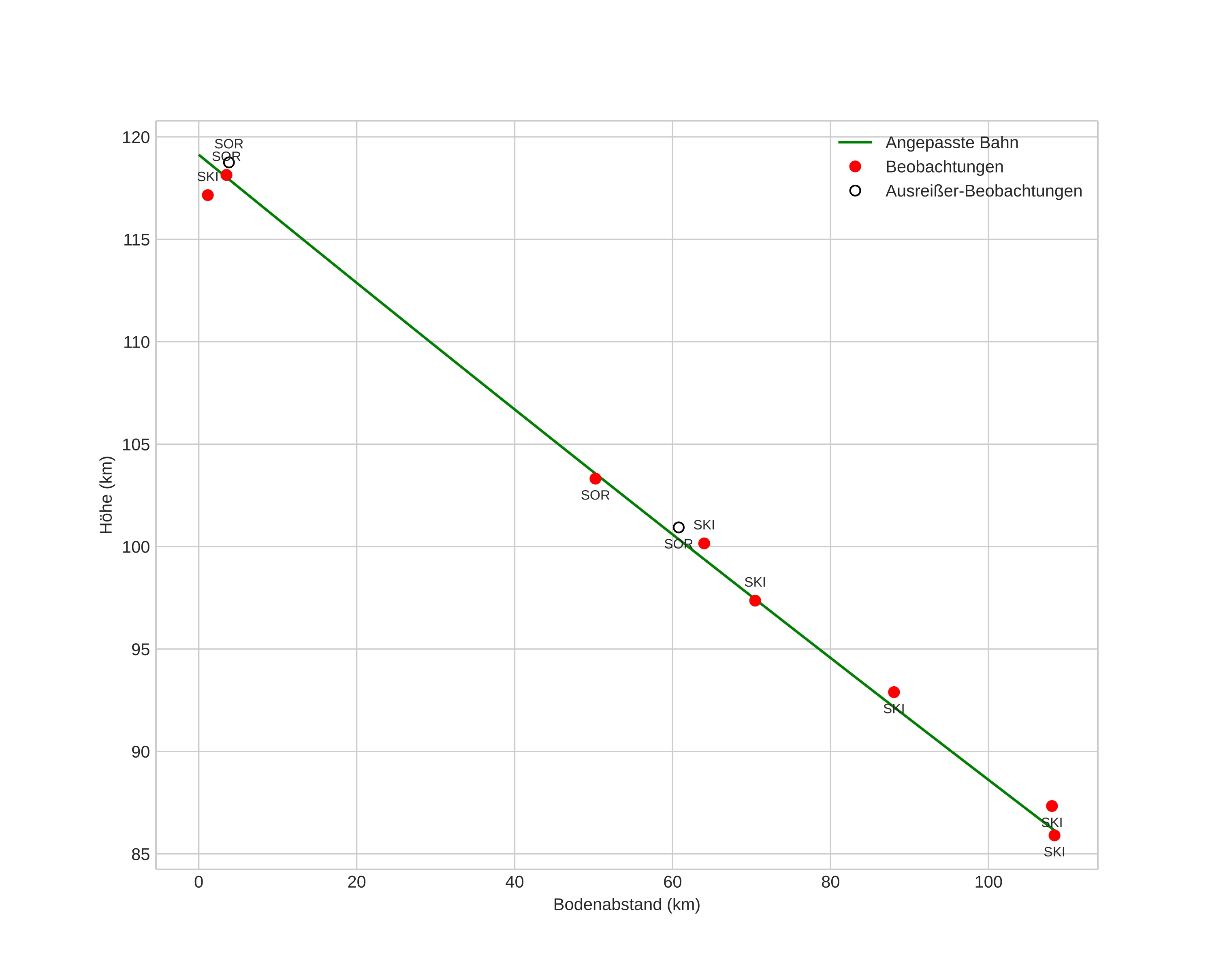
height profile
Atmosphärische Bahn des Meteors:
Anfangshöhe: 120,2 km
Endhöhe: 87,1 km
Startposition: 69,563N 15,167E
Endposition: 70,426N 16,561E
Richtung: 28,3°
Neigungswinkel: 16,8°
Eintrittsgeschwindigkeit: 74,3 km/s
Rektaszension des Radianten: 10:39 (159,9°)
Deklination des Radianten: -1,7°
Meteorstrom: sporadisch
Bahnelemente des Meteoroiden:
Periheldistanz: 0,789 AU
Exzentrizität: 1,294
Inklination: 162,8°
Länge des aufsteigenden Knotens: 89,5°
Argument des Perihels: 49,5°
Mittlere Anomalie: -6,1°
Epoche: 2024 DEC 21 05:28:08
orbit plot

Nicht-interaktives Diagramm | Interaktives Diagramm

position vs time
speed and acceleration

Skibotn (SKI) cam1

gnomonic
Videos
Bilder
• Original
Textdateien
• Erkennung
• Beobachtung
• Koordinaten
• Protokoll
Helligkeit

Skibotn (SKI) cam5

gnomonic
Videos
Bilder
• Original
Textdateien
• Erkennung
• Beobachtung
• Koordinaten
• Protokoll
Helligkeit

Skibotn (SKI) cam6

gnomonic
Videos
Bilder
• Original
Textdateien
• Erkennung
• Beobachtung
• Koordinaten
• Protokoll
Helligkeit