🇳🇴 🇬🇧 🇩🇪 🇨🇿 🇫🇮

Meteor, poloha: Arjeplog 2024-12-22 00:38:12 UTC

Soubor KML  |  InteraktivnĂ­ mapa

Mapa zobrazuje dráhy meteoru. Světlejší čáry ukazují směry od pozorovacích stanic při objevení se meteoru a tmavší čáry, kde byl naposledy viděn. Modrá šipka značí viditelnou dráhu meteoru.

static map
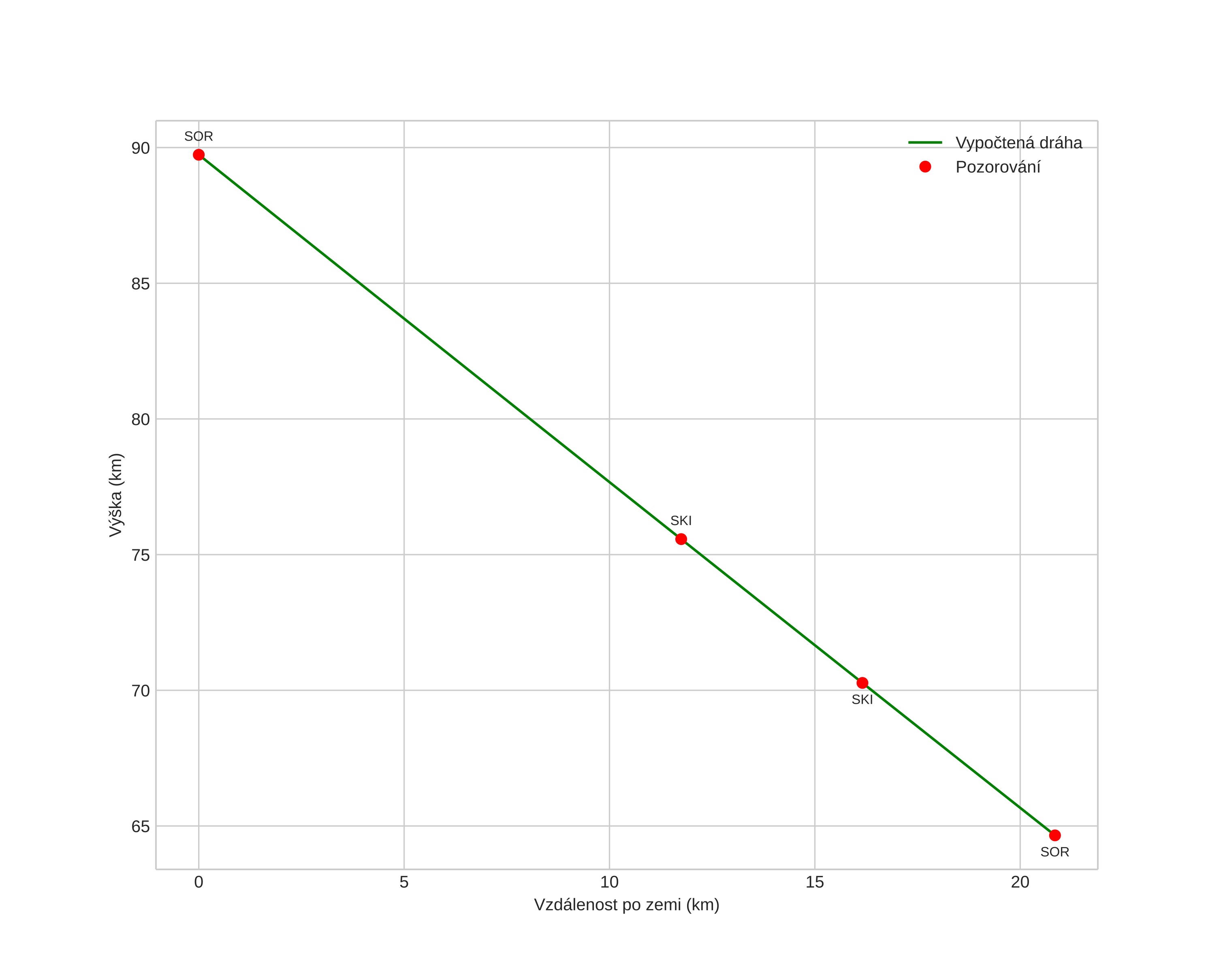
height profile
Atmosférická dráha meteoru:
Počáteční výška: 89,9 km
Konečná výška: 64,5 km
Počáteční poloha: 67,009N 17,679E
Konečná poloha: 66,788N 17,467E
Směr: 200,7°
Sklon: 44,0°
VstupnĂ­ rychlost: 36,9 km/s
Rektascenze radiantu: 17:33 (263,3°)
Deklinace radiantu: 63,6°
MeteorickĂ˝ roj: sporadickĂ˝
Elementy dráhy meteoroidu:
Vzdálenost v periheliu: 0,983 AU
Excentricita: 1,260
Sklon dráhy: 50,9°
Délka vzestupného uzlu: 270,3°
Argument perihelia: 176,4°
Střední anomálie: 0,3°
Epocha: 2024 DEC 22 00:38:12
orbit plot

NeinteraktivnĂ­ graf | InteraktivnĂ­ graf

position vs time
speed and acceleration

Skibotn (SKI) cam4

gnomonic
Videa
Obrázky
• Původní
Textové soubory
• Detekce
• Pozorování
• Souřadnice
• Protokol
Jasnost