🇳🇴 🇬🇧 🇩🇪 🇨🇿 🇫🇮

Meteor Arjeplogin yllä 2024-12-22 00:38:12 UTC

KML-tiedosto  |  Interaktiivinen kartta

Kartta näyttää meteorin suuntahavainnot. Vaaleammat viivat näyttävät suunnat havaintoasemilta meteorin ilmestyessä, ja tummemmat viivat näyttävät, missä se viimeksi nähtiin. Sininen nuoli näyttää meteorin näkyvän lennon.

static map
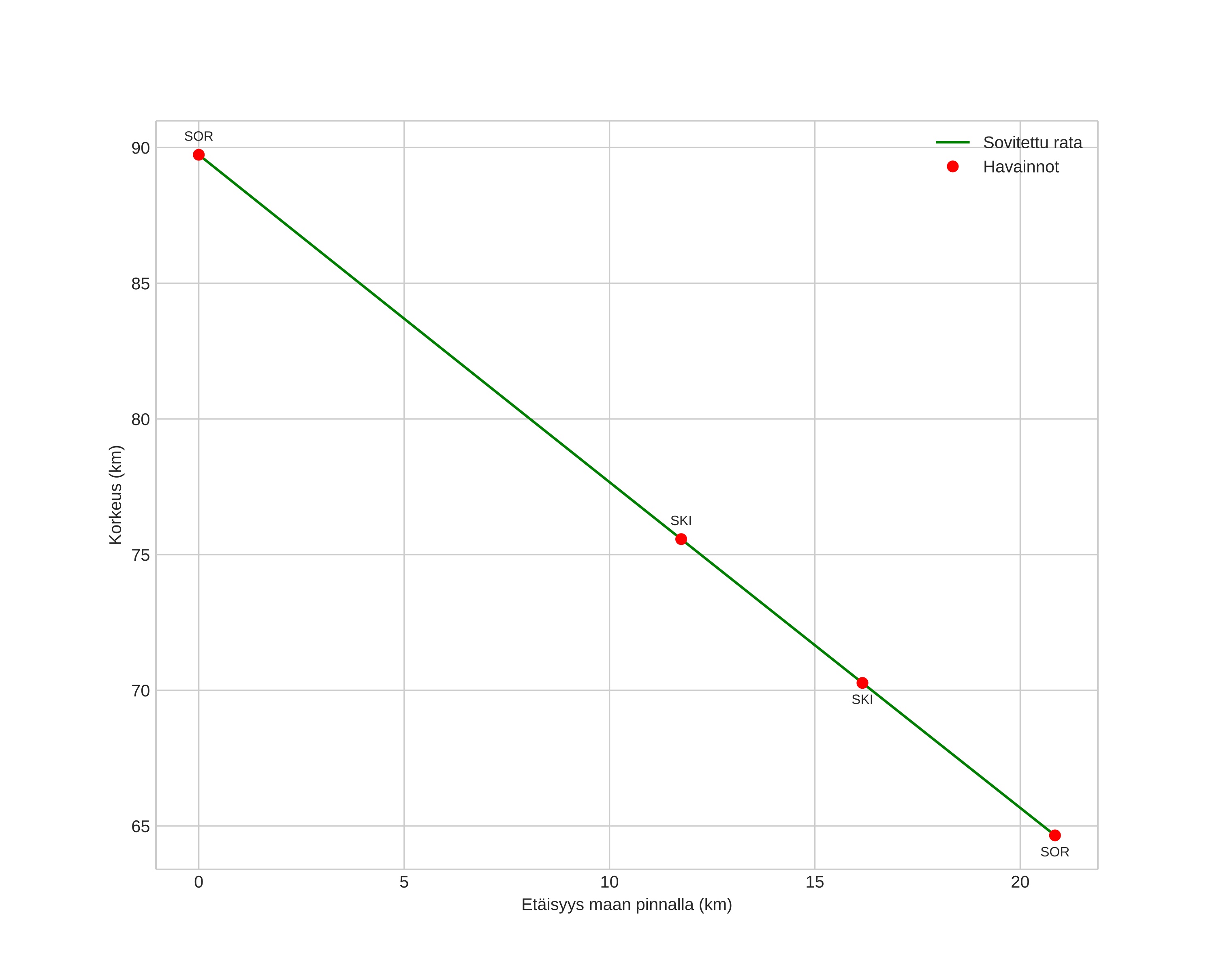
height profile
Meteorin ilmakehärata:
Alkukorkeus: 89,9 km
Loppukorkeus: 64,5 km
Alkupiste: 67,009N 17,679E
Loppupiste: 66,788N 17,467E
Suunta: 200,7°
Kallistuskulma: 44,0°
Tulonopeus: 36,9 km/s
Radiantin R,A,: 17:33 (263,3°)
Radiantin Dekl,: 63,6°
Meteoriparvi: Sporadinen
Meteoroidin rataelementit:
Perihelietäisyys: 0,983 AU
Eksentrisyys: 1,260
Inklinaatio: 50,9°
Nousevan solmun pituus: 270,3°
Perihelin argumentti: 176,4°
Keskianomalia: 0,3°
Epookki: 2024 DEC 22 00:38:12
orbit plot

Ei-interaktiivinen kuvaaja | Interaktiivinen kuvaaja

position vs time
speed and acceleration

Skibotn (SKI) cam4

gnomonic
Videot:
Kuvat:
• Alkuperäinen
Tekstitiedostot:
• Havaintoraportti
• Observaatio
• Koordinaatit
• Loki
Kirkkaus