🇳🇴 🇬🇧 🇩🇪 🇨🇿 🇫🇮

Meteor, poloha: Notodden 2024-12-22 05:21:31 UTC

Soubor KML  |  InteraktivnĂ­ mapa

Mapa zobrazuje dráhy meteoru. Světlejší čáry ukazují směry od pozorovacích stanic při objevení se meteoru a tmavší čáry, kde byl naposledy viděn. Modrá šipka značí viditelnou dráhu meteoru.

static map
height profile
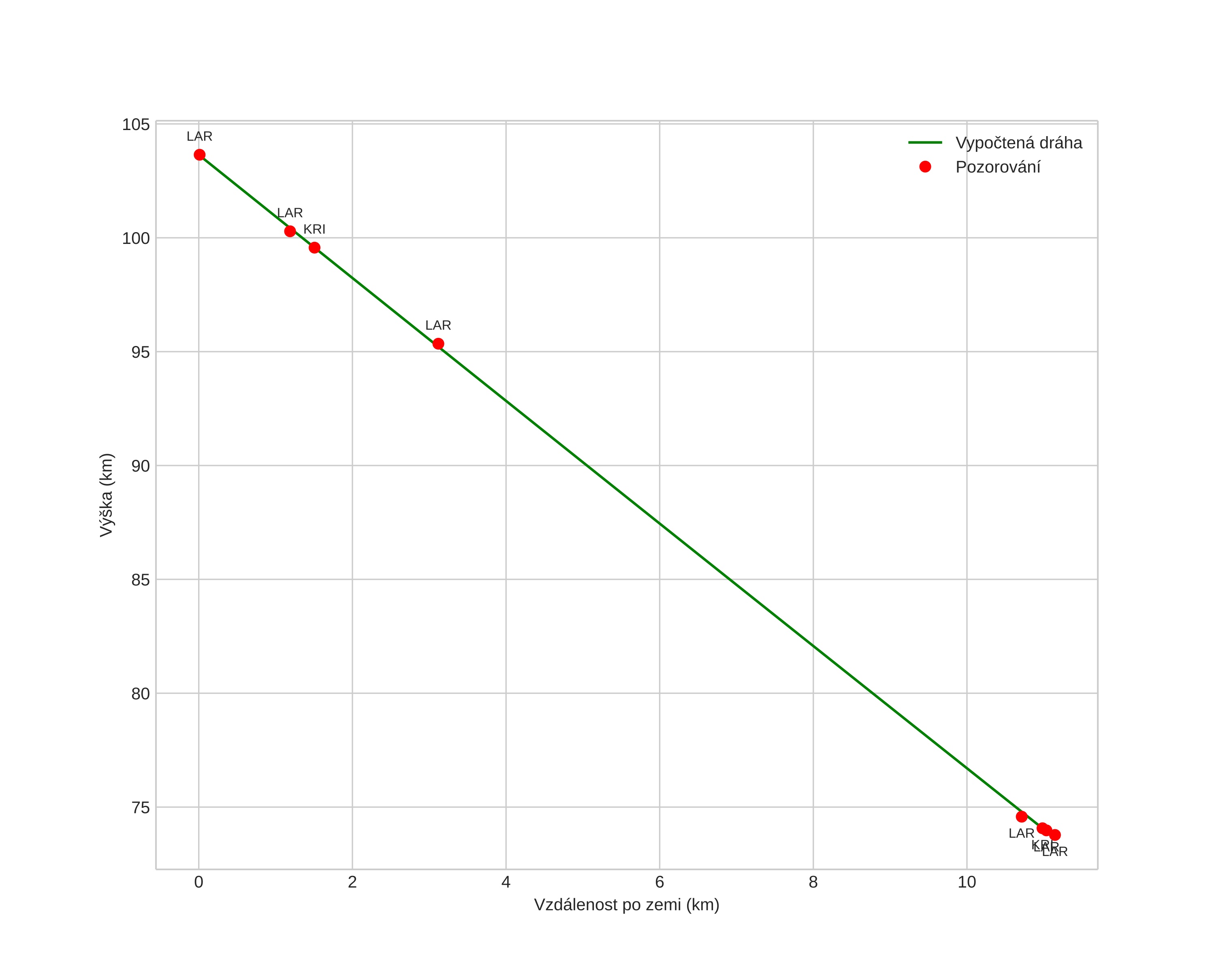
Atmosférická dráha meteoru:
Počáteční výška: 104,2 km
Konečná výška: 73,9 km
Počáteční poloha: 59,690N 9,360E
Konečná poloha: 59,598N 9,271E
Směr: 206,0°
Sklon: 69,5°
VstupnĂ­ rychlost: 34,9 km/s
Rektascenze radiantu: 14:34 (218,6°)
Deklinace radiantu: 75,8°
MeteorickĂ˝ roj: Ursidy
Elementy dráhy meteoroidu:
Vzdálenost v periheliu: 0,938 AU
Excentricita: 0,817
Sklon dráhy: 52,6°
Délka vzestupného uzlu: 270,5°
Argument perihelia: 206,3°
Střední anomálie: 358,4°
Epocha: 2024 DEC 22 05:21:31
orbit plot

NeinteraktivnĂ­ graf | InteraktivnĂ­ graf

position vs time
speed and acceleration