🇳🇴 🇬🇧 🇩🇪 🇨🇿 🇫🇮

Meteor Notoddenin yllä 2024-12-22 05:21:31 UTC

KML-tiedosto  |  Interaktiivinen kartta

Kartta näyttää meteorin suuntahavainnot. Vaaleammat viivat näyttävät suunnat havaintoasemilta meteorin ilmestyessä, ja tummemmat viivat näyttävät, missä se viimeksi nähtiin. Sininen nuoli näyttää meteorin näkyvän lennon.

static map
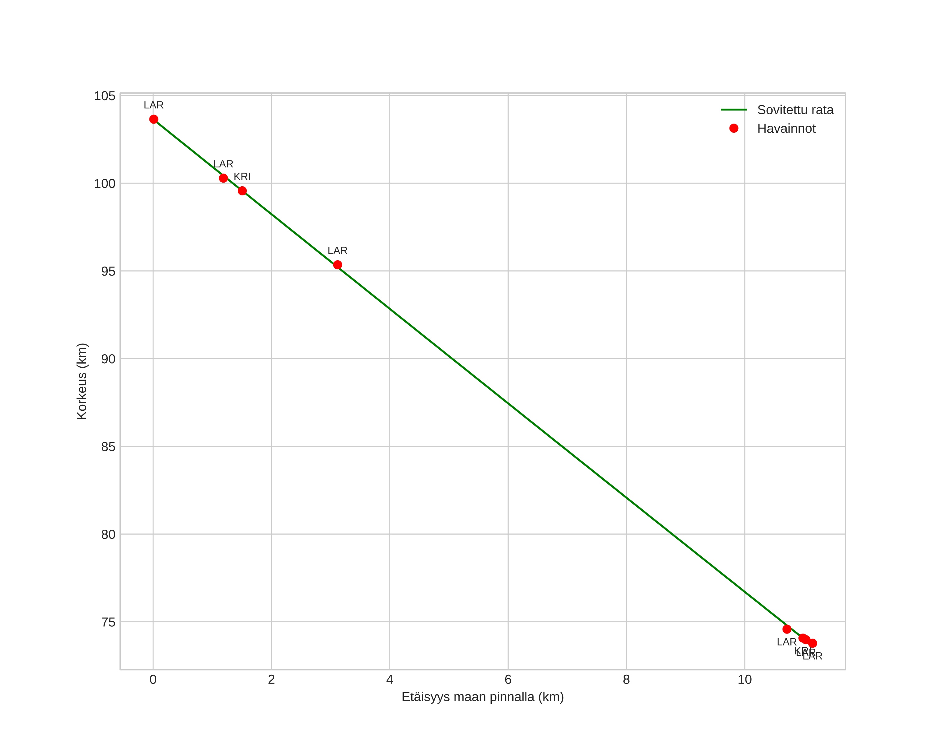
height profile
Meteorin ilmakehärata:
Alkukorkeus: 104,2 km
Loppukorkeus: 73,9 km
Alkupiste: 59,690N 9,360E
Loppupiste: 59,598N 9,271E
Suunta: 206,0°
Kallistuskulma: 69,5°
Tulonopeus: 34,9 km/s
Radiantin R,A,: 14:34 (218,6°)
Radiantin Dekl,: 75,8°
Meteoriparvi: Ursidit
Meteoroidin rataelementit:
Perihelietäisyys: 0,938 AU
Eksentrisyys: 0,817
Inklinaatio: 52,6°
Nousevan solmun pituus: 270,5°
Perihelin argumentti: 206,3°
Keskianomalia: 358,4°
Epookki: 2024 DEC 22 05:21:31
orbit plot

Ei-interaktiivinen kuvaaja | Interaktiivinen kuvaaja

position vs time
speed and acceleration