🇳🇴 🇬🇧 🇩🇪 🇨🇿 🇫🇮

Meteor, poloha: Olderdalen 2024-12-23 15:25:34 UTC

Soubor KML  |  InteraktivnĂ­ mapa

Mapa zobrazuje dráhy meteoru. Světlejší čáry ukazují směry od pozorovacích stanic při objevení se meteoru a tmavší čáry, kde byl naposledy viděn. Modrá šipka značí viditelnou dráhu meteoru.

static map
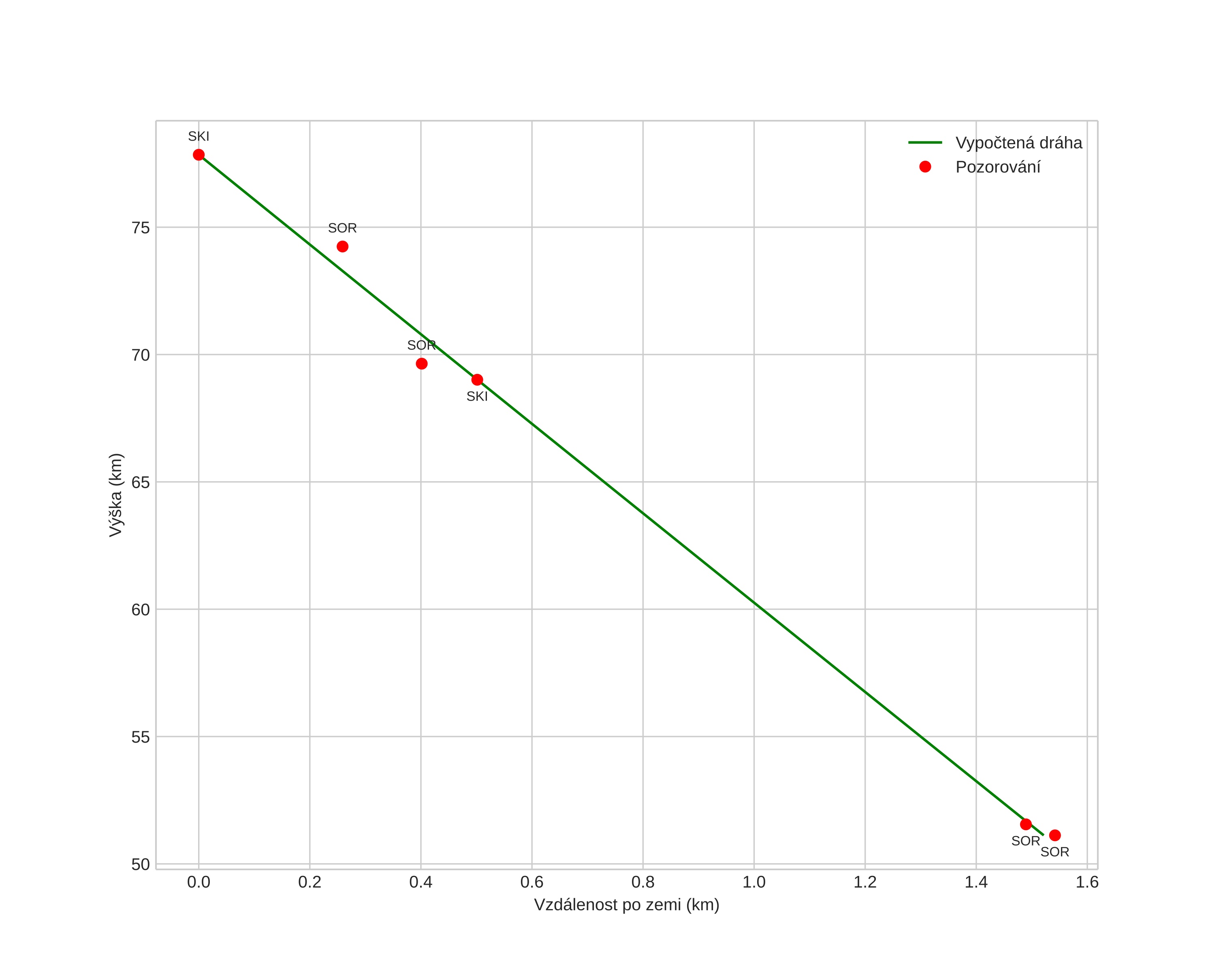
height profile
Atmosférická dráha meteoru:
Počáteční výška: 78,2 km
Konečná výška: 51,2 km
Počáteční poloha: 69,442N 20,576E
Konečná poloha: 69,451N 20,546E
Směr: 311,5°
Sklon: 86,7°
VstupnĂ­ rychlost: 18,8 km/s
Rektascenze radiantu: 23:19 (349,8°)
Deklinace radiantu: 66,7°
MeteorickĂ˝ roj: sporadickĂ˝
Elementy dráhy meteoroidu:
Vzdálenost v periheliu: 0,968 AU
Excentricita: 0,685
Sklon dráhy: 20,0°
Délka vzestupného uzlu: 271,9°
Argument perihelia: 196,2°
Střední anomálie: 357,8°
Epocha: 2024 DEC 23 15:25:34
orbit plot

NeinteraktivnĂ­ graf | InteraktivnĂ­ graf

position vs time
speed and acceleration

Skibotn (SKI) cam6

gnomonic
Videa
Obrázky
• Původní
Textové soubory
• Detekce
• Pozorování
• Souřadnice
• Protokol
Jasnost