🇳🇴 🇬🇧 🇩🇪 🇨🇿 🇫🇮

Meteor Olderdalenin yllä 2024-12-23 15:25:34 UTC

KML-tiedosto  |  Interaktiivinen kartta

Kartta näyttää meteorin suuntahavainnot. Vaaleammat viivat näyttävät suunnat havaintoasemilta meteorin ilmestyessä, ja tummemmat viivat näyttävät, missä se viimeksi nähtiin. Sininen nuoli näyttää meteorin näkyvän lennon.

static map
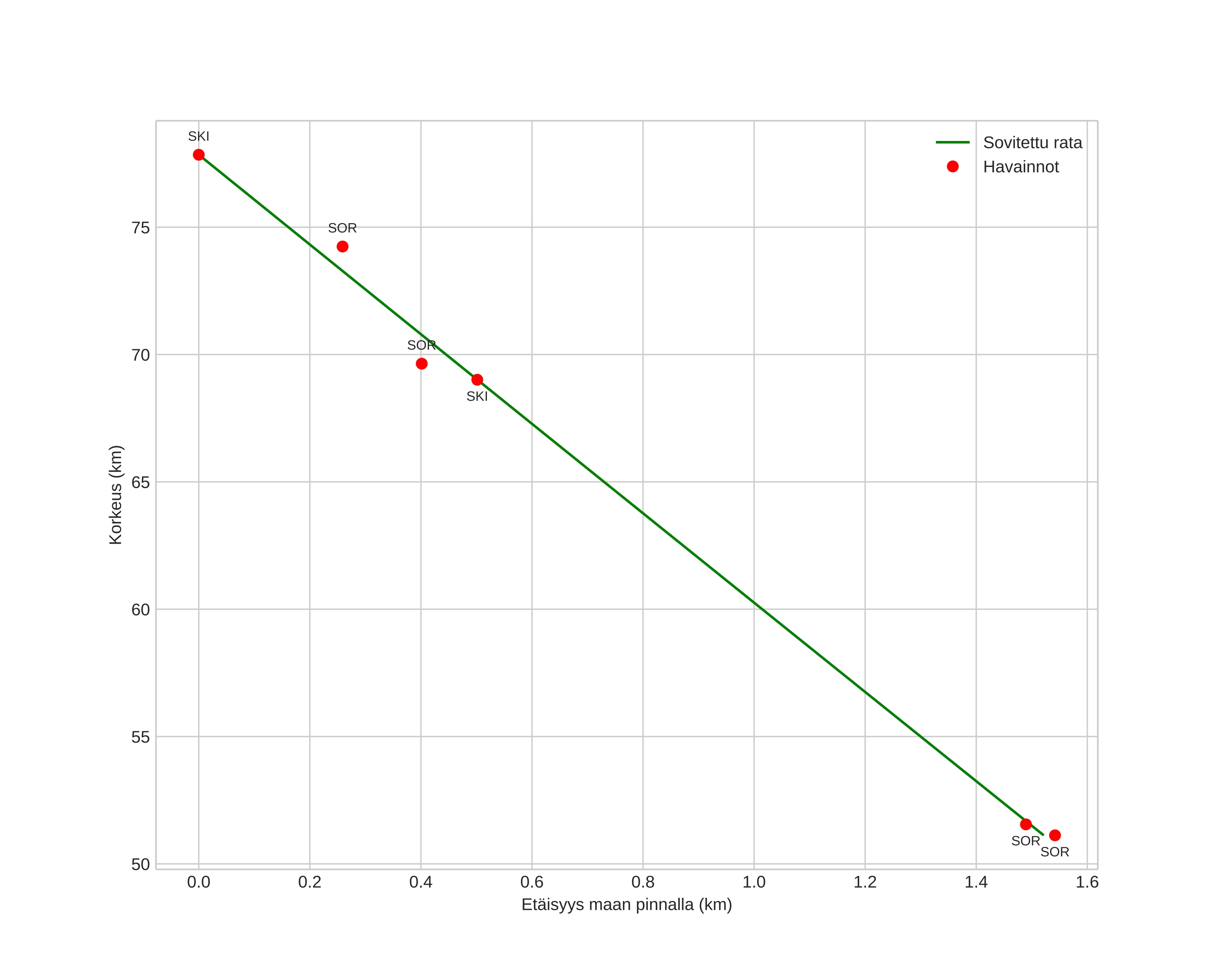
height profile
Meteorin ilmakehärata:
Alkukorkeus: 78,2 km
Loppukorkeus: 51,2 km
Alkupiste: 69,442N 20,576E
Loppupiste: 69,451N 20,546E
Suunta: 311,5°
Kallistuskulma: 86,7°
Tulonopeus: 18,8 km/s
Radiantin R,A,: 23:19 (349,8°)
Radiantin Dekl,: 66,7°
Meteoriparvi: Sporadinen
Meteoroidin rataelementit:
Perihelietäisyys: 0,968 AU
Eksentrisyys: 0,685
Inklinaatio: 20,0°
Nousevan solmun pituus: 271,9°
Perihelin argumentti: 196,2°
Keskianomalia: 357,8°
Epookki: 2024 DEC 23 15:25:34
orbit plot

Ei-interaktiivinen kuvaaja | Interaktiivinen kuvaaja

position vs time
speed and acceleration

Skibotn (SKI) cam6

gnomonic
Videot:
Kuvat:
• Alkuperäinen
Tekstitiedostot:
• Havaintoraportti
• Observaatio
• Koordinaatit
• Loki
Kirkkaus