🇳🇴 🇬🇧 🇩🇪 🇨🇿 🇫🇮

Meteor, poloha: Kirkenær 2024-12-23 16:35:07 UTC

Soubor KML  |  InteraktivnĂ­ mapa

Mapa zobrazuje dráhy meteoru. Světlejší čáry ukazují směry od pozorovacích stanic při objevení se meteoru a tmavší čáry, kde byl naposledy viděn. Modrá šipka značí viditelnou dráhu meteoru.

static map
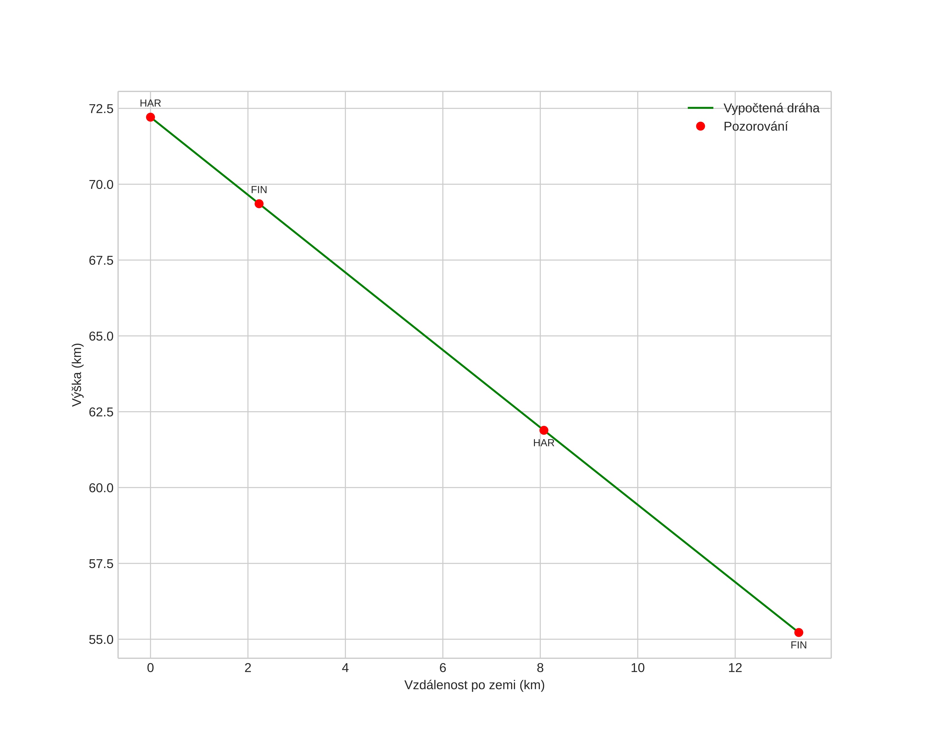
height profile
Atmosférická dráha meteoru:
Počáteční výška: 72,1 km
Konečná výška: 55,1 km
Počáteční poloha: 60,417N 12,648E
Konečná poloha: 60,520N 12,523E
Směr: 329,0°
Sklon: 51,9°
VstupnĂ­ rychlost: 14,4 km/s
Rektascenze radiantu: 01:02 (15,7°)
Deklinace radiantu: 16,5°
MeteorickĂ˝ roj: sporadickĂ˝
Elementy dráhy meteoroidu:
Vzdálenost v periheliu: 0,976 AU
Excentricita: 0,683
Sklon dráhy: 2,1°
Délka vzestupného uzlu: 271,9°
Argument perihelia: 191,0°
Střední anomálie: 358,5°
Epocha: 2024 DEC 23 16:35:07
orbit plot

NeinteraktivnĂ­ graf | InteraktivnĂ­ graf

position vs time
speed and acceleration