🇳🇴 🇬🇧 🇩🇪 🇨🇿 🇫🇮

Meteor Kirkenærin yllä 2024-12-23 16:35:07 UTC

KML-tiedosto  |  Interaktiivinen kartta

Kartta näyttää meteorin suuntahavainnot. Vaaleammat viivat näyttävät suunnat havaintoasemilta meteorin ilmestyessä, ja tummemmat viivat näyttävät, missä se viimeksi nähtiin. Sininen nuoli näyttää meteorin näkyvän lennon.

static map
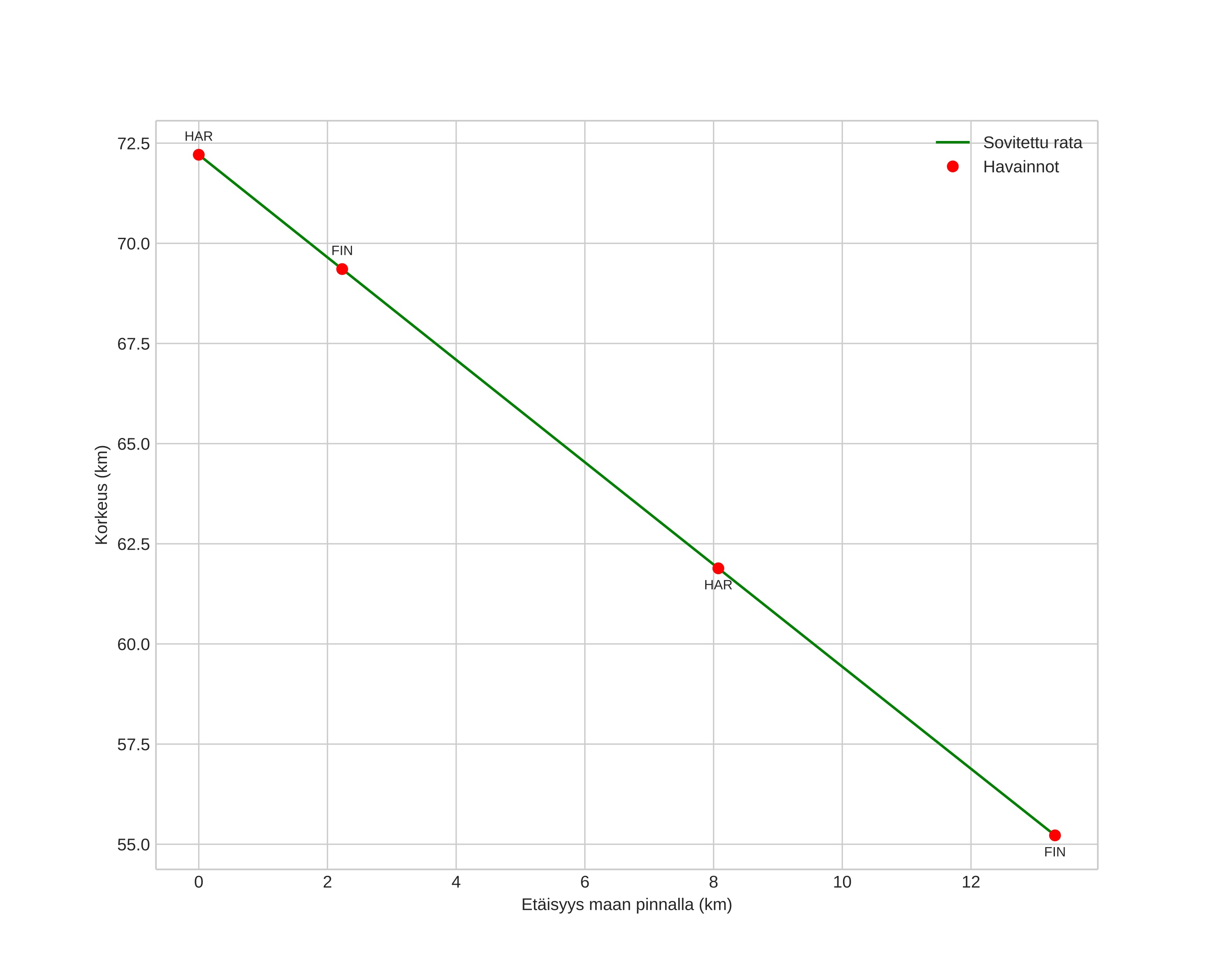
height profile
Meteorin ilmakehärata:
Alkukorkeus: 72,1 km
Loppukorkeus: 55,1 km
Alkupiste: 60,417N 12,648E
Loppupiste: 60,520N 12,523E
Suunta: 329,0°
Kallistuskulma: 51,9°
Tulonopeus: 14,4 km/s
Radiantin R,A,: 01:02 (15,7°)
Radiantin Dekl,: 16,5°
Meteoriparvi: Sporadinen
Meteoroidin rataelementit:
Perihelietäisyys: 0,976 AU
Eksentrisyys: 0,683
Inklinaatio: 2,1°
Nousevan solmun pituus: 271,9°
Perihelin argumentti: 191,0°
Keskianomalia: 358,5°
Epookki: 2024 DEC 23 16:35:07
orbit plot

Ei-interaktiivinen kuvaaja | Interaktiivinen kuvaaja

position vs time
speed and acceleration