🇳🇴 🇬🇧 🇩🇪 🇨🇿 🇫🇮

Meteor, poloha: Myre 2024-12-23 16:41:57 UTC

Soubor KML  |  InteraktivnĂ­ mapa

Mapa zobrazuje dráhy meteoru. Světlejší čáry ukazují směry od pozorovacích stanic při objevení se meteoru a tmavší čáry, kde byl naposledy viděn. Modrá šipka značí viditelnou dráhu meteoru.

static map
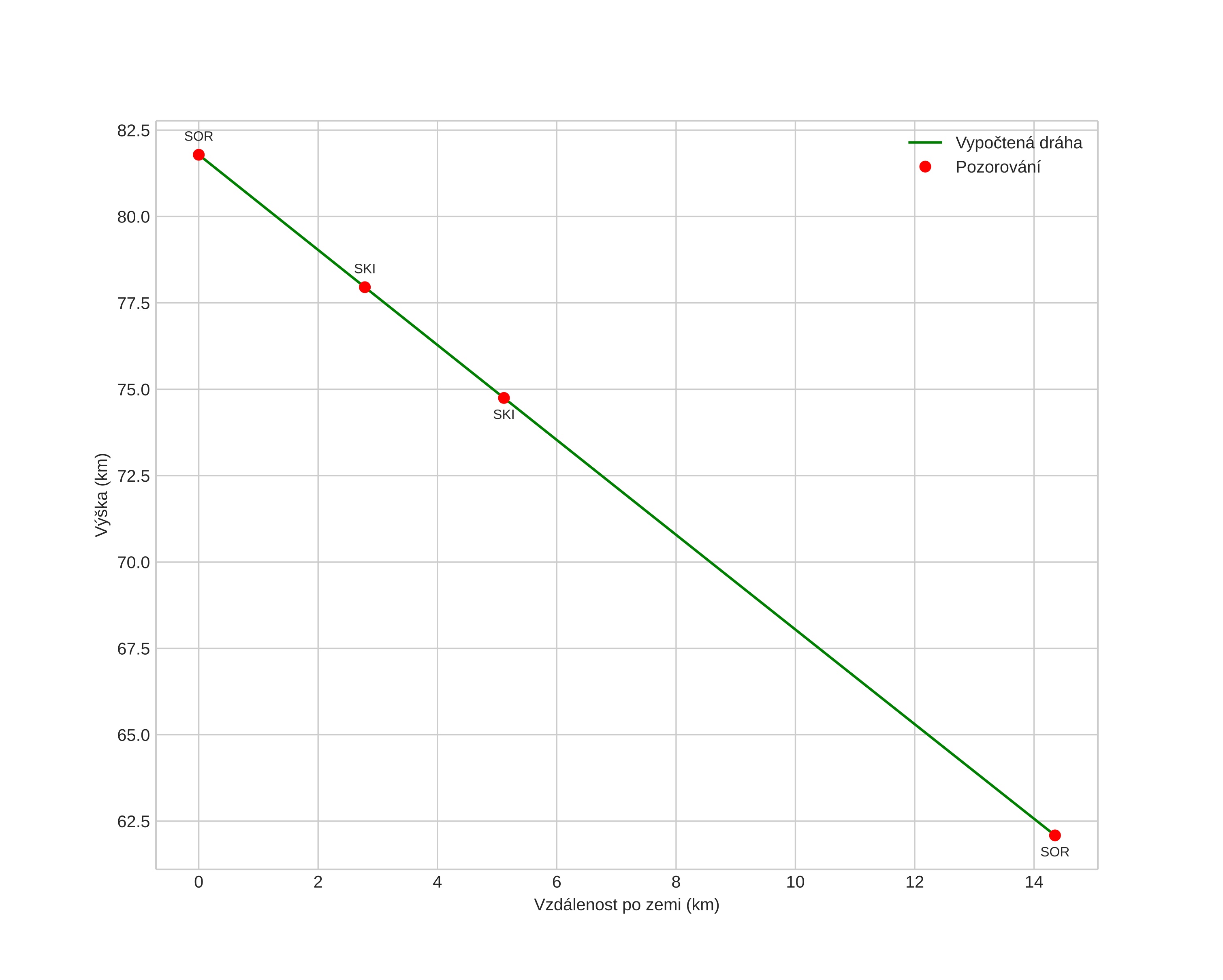
height profile
Atmosférická dráha meteoru:
Počáteční výška: 81,6 km
Konečná výška: 61,9 km
Počáteční poloha: 70,215N 13,992E
Konečná poloha: 70,304N 14,264E
Směr: 45,8°
Sklon: 54,2°
VstupnĂ­ rychlost: 19,7 km/s
Rektascenze radiantu: 21:30 (322,6°)
Deklinace radiantu: 35,0°
MeteorickĂ˝ roj: sporadickĂ˝
Elementy dráhy meteoroidu:
Vzdálenost v periheliu: 0,975 AU
Excentricita: 1,016
Sklon dráhy: 16,2°
Délka vzestupného uzlu: 272,0°
Argument perihelia: 169,2°
Střední anomálie: 0,0°
Epocha: 2024 DEC 23 16:41:57
orbit plot

NeinteraktivnĂ­ graf | InteraktivnĂ­ graf

position vs time
speed and acceleration

Skibotn (SKI) cam5

gnomonic
Videa
Obrázky
• Původní
Textové soubory
• Detekce
• Pozorování
• Souřadnice
• Protokol
Jasnost