🇳🇴 🇬🇧 🇩🇪 🇨🇿 🇫🇮

Meteor Myren yllä 2024-12-23 16:41:57 UTC

KML-tiedosto  |  Interaktiivinen kartta

Kartta näyttää meteorin suuntahavainnot. Vaaleammat viivat näyttävät suunnat havaintoasemilta meteorin ilmestyessä, ja tummemmat viivat näyttävät, missä se viimeksi nähtiin. Sininen nuoli näyttää meteorin näkyvän lennon.

static map
height profile
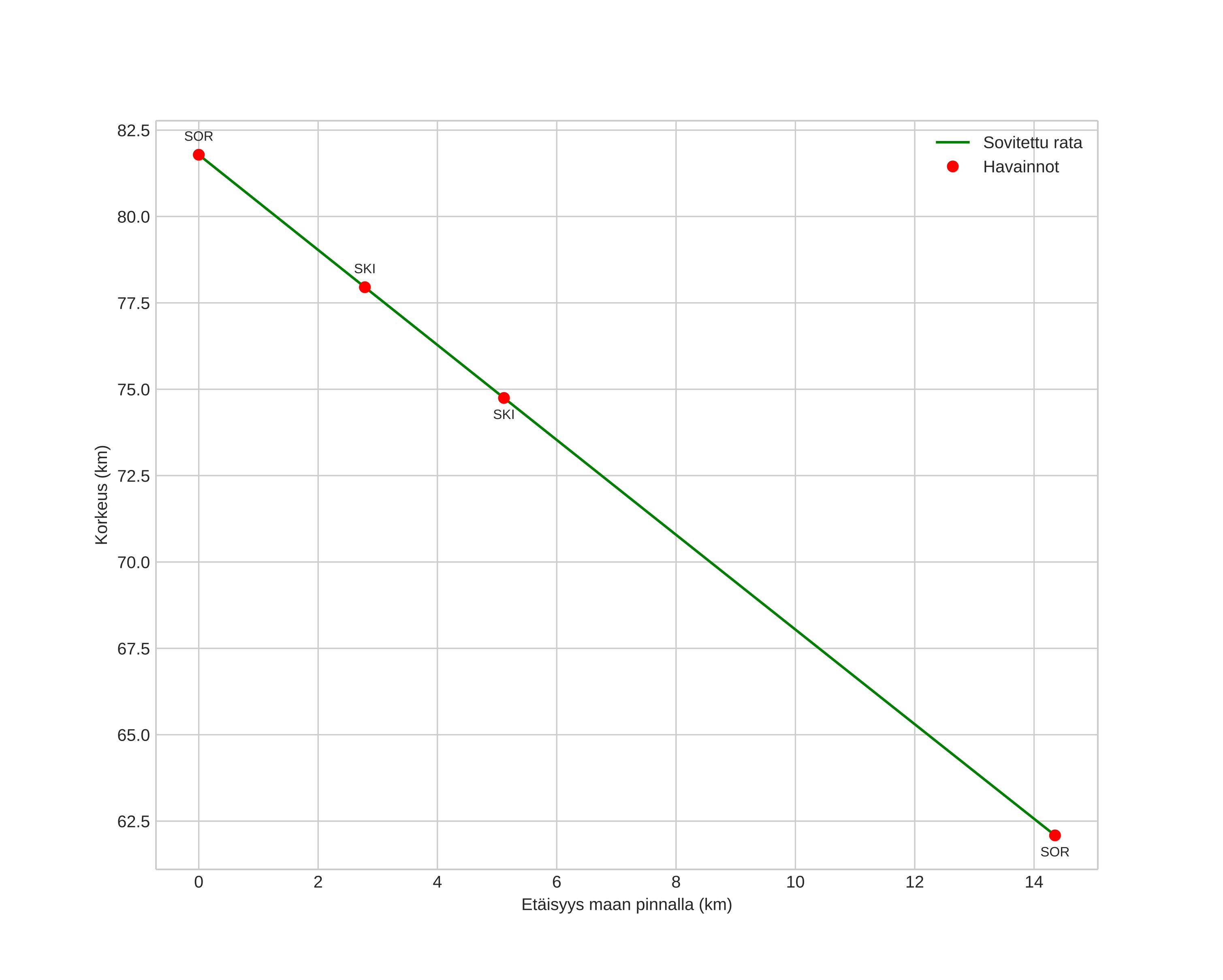
Meteorin ilmakehärata:
Alkukorkeus: 81,6 km
Loppukorkeus: 61,9 km
Alkupiste: 70,215N 13,992E
Loppupiste: 70,304N 14,264E
Suunta: 45,8°
Kallistuskulma: 54,2°
Tulonopeus: 19,7 km/s
Radiantin R,A,: 21:30 (322,6°)
Radiantin Dekl,: 35,0°
Meteoriparvi: Sporadinen
Meteoroidin rataelementit:
Perihelietäisyys: 0,975 AU
Eksentrisyys: 1,016
Inklinaatio: 16,2°
Nousevan solmun pituus: 272,0°
Perihelin argumentti: 169,2°
Keskianomalia: 0,0°
Epookki: 2024 DEC 23 16:41:57
orbit plot

Ei-interaktiivinen kuvaaja | Interaktiivinen kuvaaja

position vs time
speed and acceleration

Skibotn (SKI) cam5

gnomonic
Videot:
Kuvat:
• Alkuperäinen
Tekstitiedostot:
• Havaintoraportti
• Observaatio
• Koordinaatit
• Loki
Kirkkaus