🇳🇴 🇬🇧 🇩🇪 🇨🇿 🇫🇮

Meteor, poloha: Älvdalen 2024-12-25 17:50:29 UTC

Soubor KML  |  InteraktivnĂ­ mapa

Mapa zobrazuje dráhy meteoru. Světlejší čáry ukazují směry od pozorovacích stanic při objevení se meteoru a tmavší čáry, kde byl naposledy viděn. Modrá šipka značí viditelnou dráhu meteoru.

static map
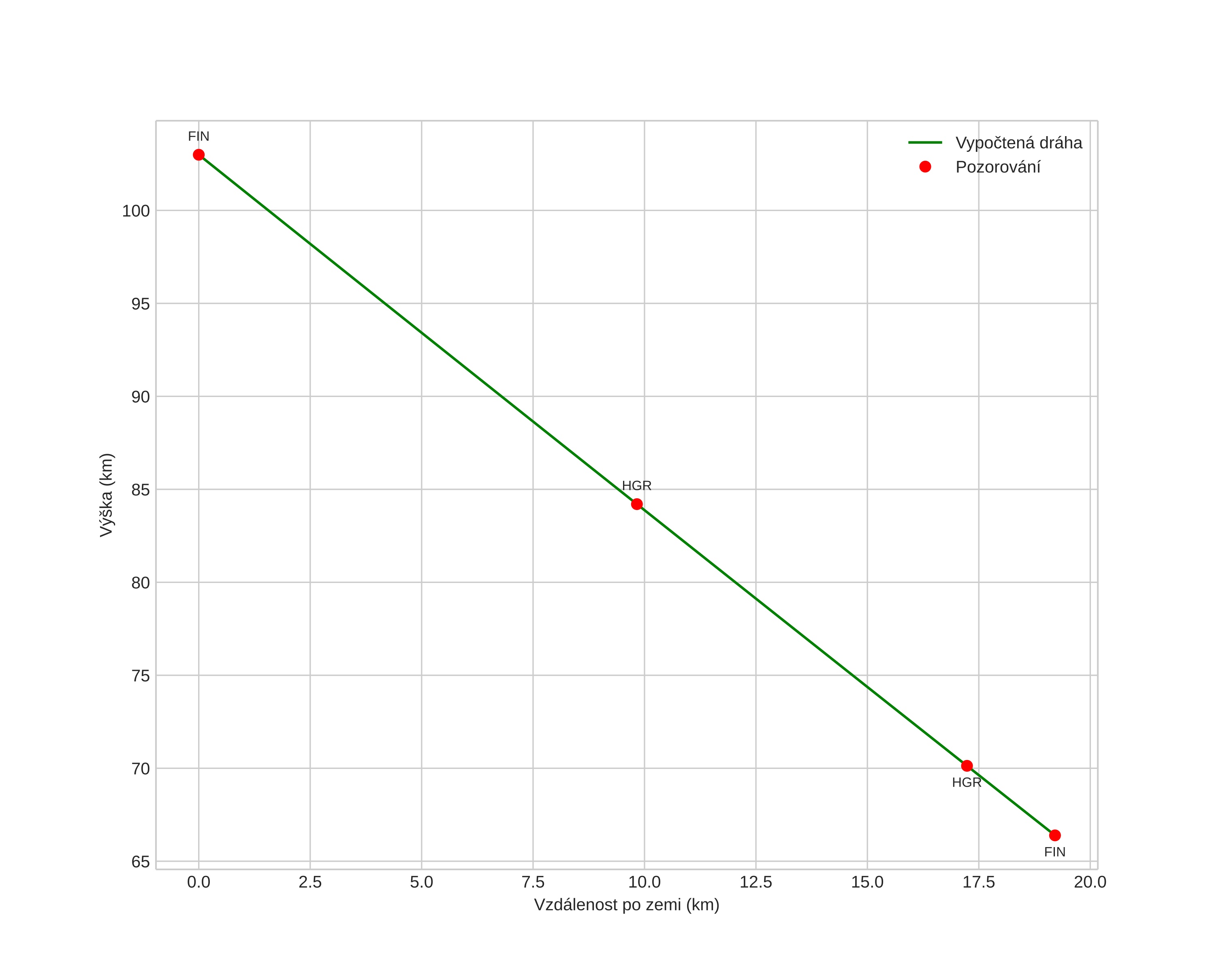
height profile
Atmosférická dráha meteoru:
Počáteční výška: 110,7 km
Konečná výška: 68,1 km
Počáteční poloha: 61,337N 14,156E
Konečná poloha: 61,326N 13,720E
Směr: 267,2°
Sklon: 61,3°
VstupnĂ­ rychlost: 40,2 km/s
Rektascenze radiantu: 04:25 (66,3°)
Deklinace radiantu: 51,1°
MeteorickĂ˝ roj: sporadickĂ˝
Elementy dráhy meteoroidu:
Vzdálenost v periheliu: 0,747 AU
Excentricita: 2,122
Sklon dráhy: 23,8°
Délka vzestupného uzlu: 274,1°
Argument perihelia: 229,7°
Střední anomálie: -40,5°
Epocha: 2024 DEC 25 17:50:29
orbit plot

NeinteraktivnĂ­ graf | InteraktivnĂ­ graf

position vs time
speed and acceleration